Observations while under contruction as of March 2019
- AMD greatly increased recently
perhaps due to poor nutrition - AMD greatly increased with smoking since the 1930's perhaps due to tobacco additives
- AMD is more likely if have some genes
but genes are much less of a risk factor than nutrition or smoking - Avastin ( a chemo drug) injections appear to nicely slowdown wet AMD progression
- CBD treats both wet and dry AMD
sublingual CBD works, Big Pharma has also patented CBD eye drops - Vitamin D treats and prevents both wet and dry AMD
generally using oral Vitamin D - Omega-3 treats wet AMD
Suggestions to prevent AMD
Eat organic food (more nutrition), supplement with Vitamin D, Omega-3, do not smoke
Additional suggestions to treat AMD
Get Avastin injections, Add CBD
Table of contents
- AMD is due to poor diet (CURE AMD Foundation)
- Genetic testing for AREDS - nope
- AMD and Gut Bionome
- CBD appears to treat AMD (via VEGF, etc)
- Retina has both CBD1 and CBD2 receptors - 2016 (THC may help)
- Avastin Injections slow wet AMD
- Avastin helped by Vitamin D (for CRC, perhaps for AMD as well)
- Smoking and AMD
- See also VitaminDWiki
- See also web
AMD is due to poor diet (CURE AMD Foundation)
Dr. Chris Knobbe believes that an ancestral diet would prevent AMD
But it is virtually impossible to get a nutritionally complete ancestral diet in 2019
Modern day "Ancestral" food lack Magnesium, Vitamin D, Zinc, Vitamin K, Omega-3, etc.
Cure AMD Foundation
Electronic copy of his book costs only 50 cents
What Are the Best ‘Eye Vitamins’ for Macular Degeneration? - none
- " macular degeneration was an extraordinary medical rarity, from 1851 until about 1930."
- "Cochrane’s final conclusion reads as follows: “There is accumulating evidence that taking vitamin E or beta-carotene supplements will not prevent or delay the onset of AMD. There is no evidence with respect to other antioxidants supplements, such as vitamin C, lutein, zeaxanthin, or any of the commonly marketed multivitamin combinations.”
- Annals of Internal Medicine in Nov 2017 commented on the Cochrane report
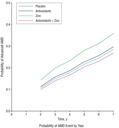
Antioxident vitamin or mineral supplements do not prevent age-related macular degeneration - "For those with category 3 or 4 macular disease, at 5 years from the onset of the study,
the probability of progression to advanced AMD was
28% for those given placebo,
23% for those given antioxidants (vitamins E, C, and beta-carotene),
22% for those given zinc, and
20% for those given antioxidants and zinc (the AREDS formula)" - "And from this we get the Number Needed to Treat (NNT), which is also 13"
Weston Price 1 hour video - 2017 with slides and transcript
Genetic testing for AREDS - nope
AREDS slowed AMD progression by 3X for ~30% of people, but 50% faster progression for 30% of people
- "If one has two copies of the CFH Y402H allele, they would develop wet AMD 2.8 years sooner, on average, compared to those who have no copies of the gene.63 For those who have two copies of the ARMS2 A69S gene, they develop wet AMD 5.2 years sooner than an individual with no copies of the gene, again, on average"
- "...in May of 2017, the Centers for Medicare and Medicaid Services (CMS) gave conditional approval for reimbursement of so-called pharmacogenetic testing for patients who have AMD" There is a CPT code
- 57X increase in AMD in Japan in 30 years
- "...as compared to the Ancestral Diet, the relative risk of developing AMD with the SAD diet is 74-fold greater."
Genetic Testing in Persons with Age-Related Macular Degeneration and the Use of the AREDS Supplements; To Test or Not to Test? Jan 2015  Download the PDF from VitaminDWiki
Company selling Macula gene tests to doctors
Macular Degeneration, Genes, and Grandma’s Vitamins: To test or not to test? Science Based Medicine, March 2018
- Conflicts of interest by both the proponents and opponents to AREDS gene testing
- Original data (and above chart?) was not statistically significant
- A subsequent indepentant analysis of the data did not find any gene problem
- AREDS at Wikipedia
Probabiliy of AMD after 7 years: ~34% with placebo, ~23% with AREDS
AMD and Gut Bionome
- The Microbiome and Age-related Macular Degeneration
"A study by Dr. Allen Taylor at Tufts shows that mice given a high sugar diet have an altered microbiome and develop features of AMD."
"In addition, Dr. Mike Sapieha at University of Montreal and McGill University reported similar findings with a high-fat diet." - Diet and Gut Bacteria: Their Connection to AMD
38 minute audio with transcript - Importance of Gut Bacteria in a Model of AMD
Interview of a researcher with $160,000 grant to study gut bacteria and AMD in mice, ending summer 2019
Video with transcript
"...my research suggests that modifying our diets to have a lower glycemic index, or a healthier dietary pattern, may have a dramatic effect on reducing AMD in populations. A six-unit change in dietary glycemic index, (ie, the equivalent of eating 5 pieces of whole-wheat bread instead of white bread) would save 100,000 people from developing AMD over 5 years."
"In my most recent study, I showed that altering diet, even late in life, could completely prevent the onset of AMD" - Gut microbiota modify risk for dietary glycemia-induced age-related macular degeneration - April 2018
- doi: 10.1080/19490976.2018.1435247 - might be available on Sci-Hub
- Intestinal microbiome proposed as a potential therapeutic target for AMD - Oct 2018
- Is the microbiome the missing link in macular degeneration? May 2018
Dr. Dimitra Skondra, mice studies - "Association of the Intestinal Microbiome with the Development of Neovascular Age-Related Macular Degeneration" Jan 2017
 Download the PDF from ResearchGate via VitaminDWiki
CBD appears to treat AMD (via VEGF, etc)
- Cannabis May Be Another Option for Reversing Early Macular Degeneration
- Studies as of March 2019
- One person took CBD for a tic problem and her AMD decreased
Earlier she had stopped her AMD injections earlier
Doctor said of her wet AMD "“The leaking in the blood vessel that causes lesions, bumps, swelling, etc. (which causes the loss of vision) was mostly gone.”
"There are cannabinoid receptors in the eye area"
"But cannabidiol has also been shown to be an anti-inflammatory specifically for the retina area" - Cannabidiol (CBD) And Age-Related Macular Degeneration Oct 2018 both wet and dry
CBD is an anti-inflammatory for the retinal area
CBD is neuroprotective
CBD is anti-angiogenesis
CBD has anti-aging properties
CBD inhibits VEGF growth (vascular endothelial growth factor), the growth of new blood vessels
Same target as Avastin injections
CBD lowers blood pressure
CBD protects retina cells
CBD reduces ocular pressure - MACULAR DEGENERATION – MEDICAL MARIJUANA RESEARCH OVERVIEW 2017
- Mediation of Cannabidiol anti-inflammation in the Retina by Equilibrative Nucleoside Transporter and A2A Adenosine Receptor - Dec 2008  Download the PDF from VitaminDWiki
- The Cannabinoid System (CB1 / CB2 Receptors): The Good + The Bad Self-Hacked, Jan 2018
- Excellent in- depth study
- Cannabis meets Big Pharma Macular Degeneration ] Feb 2015
For lowering eye pressure - Medical Marijuana For Macular Degeneration
"The ECS ( endocannabinoid system) has two different types of receptors — CB1 and CB2. While CB2 receptors occur throughout the peripheral nervous system and the immune system, CB1 receptors primarily cluster in the brain and spinal cord. When you consume cannabis, it enters the bloodstream and binds to either CB1 or CB2 receptors."
" CBD mainly binds to CB2 receptors"
"In a 2004 study of brain tumors, researchers found that cannabinoids blocked and inhibited VEGF pathways through the body, showing incredible promise for cannabis as a treatment for macular degeneration. THC seems to be especially effective at targeting VEGF progression - Cannabinoids inhibit the vascular endothelial growth factor pathway in gliomas - 2004
 Download the PDF from VitaminDWiki - Cannabinoid nanoparticles, hydrogel combo bolster glaucoma drops? American Optometric Association April 2018
Reducing glaucoma, eye pressure, another specifically about AMD
Nano form got 3X more CBD into the eye - Cannabidiol inhibits angiogenesis by multiple mechanisms - Nov 2012
 Download the PDF from VitaminDWiki
Retina has both CBD1 and CBD2 receptors - 2016 (THC may help)
Expression and Function of the Endocannabinoid System in the Retina and the Visual Brain
 Download the PDF from VitaminDWiki
Avastin Injections slow wet AMD
- What Is Avastin (Bevacizumab)? Everyday Health
Develped for various Cancers FDA approved for Colon Cancer in 2004, Off-label use for AMD
has a very long list of side effects - How Effective are Age-Related Macular Degeneration Treatments? has links to details
"A recently published extension of the CATT study showed that, after five years,
50 % of patients receiving anti-VEGF injections had 20/40 vision or better in the treated eye;
20 % had 20/200 or worse;
30 % had vision somewhere between these two figures.
Many patients did not require injections every month after the initial 2-year study period. - Testamonials - 2013
Avastin helped by Vitamin D (for CRC, perhaps for AMD as well)
- SUNSHINE: High-dose vitamin D boosts PFS in metastatic CRC RCT June 2017
"Results showed that those given FOLFOX chemotherapy and the antiangiogenic agent bevacizumab (Avastin) plus high-dose vitamin D had a one-third lower risk of progression or death "
8,000 IU/day for 2 weeks as a loading dose, followed by 4,000 IU/day. - Higher Vitamin D Levels Associated With Markedly Improved Survival in Patients With Advanced Colorectal Cancer Jan 2015
Smoking and AMD
- Absorption of blue light by cigarette smoke components is highly toxic for retinal pigmented epithelial cells. - Feb 2019
Arch Toxicol. 2019 Feb;93(2):453-465. doi: 10.1007/s00204-018-2344-3
Tobacco smoke contains toxic polycyclic aromatic hydrocarbons that can accumulate in retina RPE and which absorb blue light
"... we found IcdP to be at least 3000 times more toxic for RPE cells when irradiated with HEV light" (blue)- See also in VitaminDwiki Smoking reduces vitamin D - many studies
See also VitaminDWiki
Vision category starts with
- 12% larger pupils in children who are Vitamin D deficient – Feb 2024 parasympathetic nervous system?
- Myopia, AMD, Dry Eye, and Diabetic Retinopathy are all associated with low Vitamin D - April 2023
- An ocular disease can be associated with low vitamin D and 1 of 5 poor vitamin D genes – June 2022
- Eye vitamin D may not be associated with blood VitD, but is associated with CYP27B1 and CYP24A1 – Nov 2019
- Vitamin D treats and prevents a variety of eye problems (need 70 ng) – June 2018
- Vitamin D and Myopia, AMD, Diabetic Retinopathy, Uveitis, Glaucoma, VDR etc. – May 2015
- Tears often have 25 % higher levels of vitamin D than does blood
Vision problems having many studies on VitaminDWiki
- Uveitis (inflamed eye) and Vitamin D - many studies
- Age-Related Macular Degeneration and Vitamin D - many studies
- Cataracts and Vitamin D - many studies
- Diabetic Retinopathy associated with low Vitamin D - many studies
- 7+ studies of Glaucoma and Vitamin D
- Dry Eyes treated by Omega-3 and Vitamin D – many studies
- 21+ studies of Myopia and Vitamin D
Seniors category start with
see also
Overview Seniors and Vitamin D
Muscles and Vitamin D - many studies 125+ items
Overview Fractures and Falls and Vitamin D
Overview Alzheimer's-Cognition and Vitamin D
Overview Cancer and vitamin D
Overview Influenza and vitamin D
Overview Diabetes and vitamin D
Hearing Loss appears to be prevented and treated with vitamin D
Overview Osteoporosis and vitamin D
Restless Legs Syndrome - Vitamin D, Iron, etc. - many studies
Overview Rheumatoid Arthritis and vitamin D
Frailty and Vitamin D - many studies many studies
Nursing homes and Vitamin D - many studies
13 reasons why many seniors need more vitamin D (both dose and level) - July 2023 has:
- Senior skin produces 4X less Vitamin D for the same sun intensity
- Seniors have fewer vitamin D receptor genes as they age
Receptors are needed to get Vitamin D in blood actually into the cells - Many other Vitamin D genes decrease with age
- Since many gene activations are not detected by a blood test,
more Vitamin D is often needed, especially by seniors - Seniors are indoors more than when they were younger
not as agile, weaker muscles; frail, no longer enjoy hot temperatures - Seniors wear more clothing outdoors than when younger
Seniors also are told to fear skin cancer & wrinkles - Seniors often take various drugs which end up reducing vitamin D
Some reductions are not detected by a vitamin D test of the blood
statins, chemotherapy, anti-depressants, blood pressure, beta-blockers, etc - Seniors often have one or more diseases that consume vitamin D
osteoporosis, diabetes, Multiple Sclerosis, Cancer, ... - Seniors generally put on weight as they age - and a heavier body requires more vitamin D
- Seniors often (40%) have fatty livers – which do not process vitamin D as well
- Reduced stomach acid means less Magnesium is available to get vitamin D into the cells
- Vitamin D is not as bioavailable in senior intestines
- Seniors with poorly functioning kidneys do not process vitamin D as well
- Glutathione (which increases Vitamin D getting to cells) decreases with age
Seniors category has440 items See also web
- Recent developments in age-related macular degeneration: a review - 2017, excellent
 Download the PDF from VitaminDWiki
Age-Related Macular Degeneration - Diet, bionome, Vitamin D, CBD, Avastin, etcPrinter Friendly Follow this page for updates20862 visitors, last modified 29 Sep, 2021, This page is in the following categories (# of items in each category)Attached files
ID Name Uploaded Size Downloads 11608 AMD probability.jpg admin 19 Mar, 2019 19.19 Kb 1313 11604 CB2 receptor retina.jpg admin 18 Mar, 2019 67.85 Kb 1226 11603 CB1 receptor retina.jpg admin 18 Mar, 2019 73.01 Kb 1329 11602 Expression and Function of the Endocannabinoid System in the Retina.pdf admin 18 Mar, 2019 1.47 Mb 765 11601 AREDS and gene testing.pdf admin 18 Mar, 2019 91.31 Kb 747 11585 Recent developments AMD.pdf admin 17 Mar, 2019 1.34 Mb 841 11584 AMD gut.jpg admin 17 Mar, 2019 98.29 Kb 1337 11583 AMD geonome.jpg admin 17 Mar, 2019 39.57 Kb 987 11582 AMD different gut bacteria.jpg admin 17 Mar, 2019 29.82 Kb 359 11581 Microbiome AMD 2017.pdf admin 17 Mar, 2019 1.56 Mb 789 11580 Cannabidiol inhibits angiogenesis.pdf admin 17 Mar, 2019 2.25 Mb 918 11579 Cannabinoids VEGF 2004.pdf admin 17 Mar, 2019 822.29 Kb 842 11578 AMD AREDS 3X reduced if some genes 1.8 X more for 30% of genes.jpg admin 16 Mar, 2019 38.50 Kb 1684 - Recent developments in age-related macular degeneration: a review - 2017, excellent