Table of contents
Correlation between tear fluid and serum vitamin D levels - Sept 2016
Eye Vis (Lond). 2016 Sep 2;3(1):22. doi: 10.1186/s40662-016-0053-7. eCollection 2016.
Sethu S1, Shetty R2, Deshpande K2, Pahuja N2, Chinnappaiah N2, Agarwal A2, Sharma A1, Ghosh A1.
1 GROW Research Laboratory, Narayana Nethralaya Foundation, #258/A Hosur Road, Narayana Health City, Bommasandra, 560099 Bangalore, India.
2 Cornea and Refractive Surgery Division, Narayana Nethralaya, Bangalore, India.
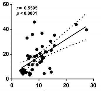
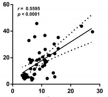
Vitamin D levels in nanograms/mL
Tear (vertical) is often 10 ng higher than in Blood (horizontal)
 Download the PDF from VitaminDWiki
BACKGROUND:
Vitamin D deficiency is associated with a range of systemic diseases including ocular disorders. The objective of this study is to measure tear vitamin D levels and investigate the correlation between serum and tear vitamin D levels.
METHODS:
A total of 48 healthy volunteers without any systemic and ocular disease were recruited for this observational cohort study. Serum was collected using clot activator coated Vacutainer® Plus tubes. Tear fluid was collected using Schirmer's strips. Serum and tear total 25-hydroxyvitamin D levels were measured by competitive chemiluminescent ELISA and the correlation between the levels were studied.
RESULTS:
The measured serum 25-hydroxyvitamin D level ranged between 3.3 and 27.5 ng/ml (Mean ± SEM, 9.4 ± 0.7 ng/ml; Median 8.4 ng/ml). Significantly (p < 0.0001) higher level of 25-hydroxyvitamin D was detected in the tears (Mean ± SEM, 17.0 ± 1.6 ng/ml; Range 3.2-45.8 ng/ml; Median, 16.3 ng/ml) compared to serum. An average of ~2 fold (Mean ± SEM, 1.9 ± 0.2; Range 0.4-5.8; Median, 1.7) higher 25-hydroxyvitamin D was observed in tears compared to serum in the subjects. In addition, a positive correlation was observed between serum and tear 25-hydroxyvitamin D levels (r = 0.5595; p < 0.0001).
CONCLUSIONS:
A higher level of 25-hydroxyvitamin D was observed in the tear fluid compared to that of the serum. It would be beneficial to consider tear vitamin D levels to study its role with reference to ocular surface diseases.
PMID: 27595117 PMCID: PMC5009644 DOI: 10.1186/s40662-016-0053-7
Vitamin D level in tears 38 ng, blood 30 ng - Jan 2019
 Download the PDF from VitaminDWiki
Vitamin D level in tears 38 ng, blood 30 ng (no vision problems) – Nov 2017
74 – Determination of Vitamin D in Tears of Healthy Individuals by the Electrochemiluminescent Method
Free Radical Biology and Medicine, Vol 112, Supplement 1, November 2017, Pages 62–63, https://doi.org/10.1016/j.freeradbiomed.2017.10.087
Renato Leca, Lai Yu Tsun, Fernando Fonseca
Introduction: Vitamin D is a fat-soluble steroid hormone, which can be converted into various forms, which are extremely physiologically important for our body. However it has not yet been well studied its functions and local metabolic pathways in some organs, such as eye.
Purpose: To verify the correlation between vitamin D levels in blood and tear and the possibility of using tear as a biological material for monitoring eye disorders in the future.
Methods: An electrochemiluminescence method was used to examine the blood and tear samples, which was collected with a Schirmer test strip from 21 individuals without ocular disease.
Results: At the 95% confidence interval, tear vitamin’s mean = 37.8 ± 3.6ng / mL, which is higher than the serum level, which presents a mean of 30.3 ± 7.7ng / mL; The coefficient of correlation of Lin = –0.018 (–0.174; 0.139), Pearson coefficient = –0.070 and the Bland-Altman coefficient = –11.12 (–30.40; 8.16). Results obtained by the program Stata version 11.0.
Conclusions: It is possible to determine levels of vitamin D in the tear using the electrochemiluminescence method and as the results with the blood do not correlate, there is possibility of using the tear as a biological matrix for detection
Publisher wants $36 for the PDF
Wonder if tear vitamin D is lower in those with some vision problems?
See also VitaminDWiki
- Vision category listing has
113 items along with related searches
This page was renamed Jan 2019.
There have actually been6532 visitors to this page since it was originally made Tears often have 25 % higher levels of vitamin D than does bloodPrinter Friendly Follow this page for updates5193 visitors, last modified 23 Jan, 2019, This page is in the following categories (# of items in each category)Attached files
ID Name Uploaded Size Downloads 11254 Tears 38 ng 2019.pdf admin 23 Jan, 2019 493.00 Kb 600 7082 Tear fluid.jpg admin 15 Sep, 2016 13.64 Kb 923 7081 Vitamin D higher in tear fluid.pdf admin 15 Sep, 2016 525.28 Kb 2850