Loading...
 

Tooth loss increases Cancer Risk (low vitamin D associated with both) - several studies


Missing teeth increase risk of several cancers by 30% (Korea) - June 2023

Associations between missing teeth and the risk of cancer in Korea: a nationwide cohort study
BMC Oral Health Volume 23, article number 418, (2023)
Eun Joo Kang, Seok-joo Moon, Kyoungmin Lee, In Hae Park, Jung Sun Kim & Yoon Ji Choi

Image
Background
Poor dental health is correlated with an increased risk of cancer. Using a nationwide population cohort database, we investigated which cancer is highly associated with poor dental health and which dental indicator mostly influences cancer risk.

Methods
This study was conducted using the National Health Checkups (NHC) and National Health Insurance System (NHIS) database in Korea. NHC in Korea includes dental examinations. We retrieved subjects who underwent NHC between 2002 and 2003 and their medical information in NHIS database was followed until December 31,2015.

Results
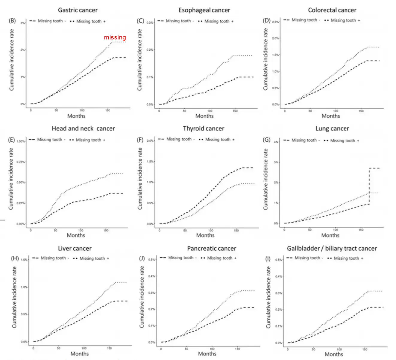
Data for 200,170 who participated in the NHC between 2002 and 2003 were analysed. During the maximum follow-up period of 13 years, 15,506 (7.75%) subjects were diagnosed with cancer. The median time to cancer diagnosis after the dental examination was 87 months (range, 51–119 months). The proportion of people with missing teeth was higher in the cancer-diagnosed group than in the non-diagnosed group (26.27% vs. 22.59%, p < 0.001). Among several dental health factors, missing teeth were significantly associated with higher cancer risk.
Subjects with missing teeth showed a 12% increased cancer risk compared to those without missing teeth

  • (odds ratio [OR] 1.12, 95% confidence interval [CI], 1.08–1.16).

The risk was significantly higher, especially in lung, head and neck, pancreatic, liver, biliary, and esophageal cancers (OR

  • 1.27 [95% CI, 1.14–1.41],
  • 1.32 [95% CI, 1.13–1.55],
  • 1.27 [95% CI, 1.02–1.58],
  • 1.24 [95% CI, 1.1–1.4],
  • 1.28 [95% CI, 1.03–1.6],
  • 1.4 [95% CI, 1.04–1.88], respectively).

Conclusions
Missing teeth were the most important dental indicator associated with cancer risk. Korean adults with missing teeth should be cautious about the risk of several cancers, particularly head and neck, lung, gastrointestinal, hepatobiliary, and pancreatic cancer.
 Download the PDF from VitaminDWiki


Vitamin D, periodontal disease, tooth loss, and cancer risk - July 2008

The Lancet Oncology, Reflection and Reaction Volume 9, Issue 7p612-613 July 2008
William B Grant wbgrant at infionline.net

Recent reports that periodontal disease and tooth loss are significantly correlated with several types of cancer1,2 suggests a common mechanism, with possibilities such as immune function, response to inflammation, and bacterial infection proposed.1,2 Although these suggestions are plausible, the underlying factor could, however, be vitamin D status. Periodontal disease, which is due to a bacterial biofilm that leads to tooth detachment due to acid leaching of calcium, is linked to low serum 25-hydroxyvitamin D (calcidiol) levels.3,4 The cancers that have been shown to be significantly linked to periodontal disease or missing teeth—ie, bladder (marginally insignificant), gastric, haemopoietic, kidney, lung, oesophageal, oral, and pancreatic cancer—are also linked to low solar ultraviolet B (UVB) and calcidiol concentrations.5–7 However, colorectal cancer, which was not shown to have a significant correlation with periodontal disease,1 is also linked to low calcidiol concentrations.5–7
 Download the PDF from VitaminDWiki


Poor oral health increased incidence of a few cancers by 10% (510,000 Chinese) - March 2022

Poor oral health and risks of total and site-specific cancers in China: A prospective cohort study of 0.5 million adults
eClinicalMedicine, Volume 45101330
Xi Zhanga ∙ Ben Liub ∙ Henry S Lynnc ∙ Kexin Chenb ∙ Hongji Daib daihongji at tmu.edu.cn

Background
There is a strong connection between oral health and overall wellness. We aim to examine the association between poor oral health and the risk of developing or dying of cancer, and whether the association differs by residential area.
Methods
Between 2004 and 2008, a total of 510,148 adults free of cancer were included from the China Kadoorie Biobank study and thereafter followed up to 2015. Poor oral health was assessed from a self-reported baseline questionnaire and defined as a combination of rarely brushing teeth and always gum bleeding. We used Cox proportional hazards models to estimate the hazard ratio (HR) of cancer risk and its associated 95% confidence interval (CI) according to oral health status.
Findings
Overall, 14.9% of participants (19.7% in rural areas and 8.8% in urban areas) reported poor oral health at baseline. After 4,602,743 person-years of follow-up, we identified 23,805 new cancer cases and 11,973 cancer deaths, respectively. Poor oral health was associated with higher risks of total cancer incidence (HR: 1.08, 95% CI: 1.04–1.12) and death (HR: 1.10, 95% CI: 1.05–1.16). For the site-specific cancers, poor oral health was significantly associated with higher risk of stomach cancer incidence (cases: 2964, HR: 1.10, 95% CI: 1.00–1.22), esophageal cancer incidence (cases: 2119, HR: 1.19, 95% CI: 1.07–1.33), esophageal cancer death (cases: 1238, HR: 1.29, 95% CI: 1.12–1.49), liver cancer incidence (cases: 2565, HR: 1.18, 95% CI: 1.06–1.32), and liver cancer death (cases: 1826, HR: 1.20, 95% CI: 1.05–1.36). This positive association was stronger among rural residents compared to urban residents (interaction test P < 0.01).
Interpretation
Our findings indicate that poor oral health is associated with higher risk for cancers, especially digestive system cancers. Promotion of oral health in the general population, especially for rural residents, could have valuable public health significance in preventing major systemic diseases.
 Download the PDF from VitaminDWiki


Evaluation of the association between periodontal disease and total cancer risk: A cross-sectional study - 2024

Dent Med Probl. 2024;61(6):843–850. doi:10.17219/dmp/175001
Ruchi Banthia1,A,B,D,E,F, Parul Jain2,A,B,D,E,F, Ashish Kumar Jain3,A,B,E, Sphoorthi Anup Belludi4,A,B,F, Neha Agarwal5,A,C, Madhvika Patidar6,B,E,F INDIA
 Download the PDF from VitaminDWiki

Vitamin D was mentioned twice, but not analyzed


3+ other VitaminDWiki Dental pages have CANCER in the title

The list is automatically updated

Items found: 4

92 associations of low Vitamin D for a health problem increasing the risk of another

Diseases that may be related via low vitamin D

Attached files

ID Name Comment Uploaded Size Downloads
22714 Poor oral Cancer China_CompressPdf.pdf admin 05 Jun, 2025 972.69 Kb 55
22713 Tooth loss Cancer Grant.pdf admin 05 Jun, 2025 667.55 Kb 50
22712 teeth cancer Korea.webp admin 05 Jun, 2025 45.85 Kb 80
22711 Teeth Cancer Korea_CompressPdf.pdf admin 05 Jun, 2025 481.66 Kb 54
22710 periodontal disease and total cancer risk_CompressPdf.pdf admin 05 Jun, 2025 267.51 Kb 52