Increase in serum 25-hydroxyvitamin-D3 in humans after sunbed exposures compared to previtamin D3 synthesis in vitro.
J Photochem Photobiol B. 2013 Mar 28;122C:32-36. doi: 10.1016/j.jphotobiol.2013.03.006. Orlova T, Moan J, Lagunova Z, Aksnes L, Terenetskaya I, Juzeniene A.
Department of Optical Quantum Electronics, Institute of Physics, National Academy of Sciences of Ukraine, 03680 Kiev, Ukraine. Electronic address: orlovat at iop.kiev.ua.
Ultraviolet (UV) radiation is liable to cause skin cancer but it is the main source of vitamin D. Vitamin D photosynthesis takes place in skin at sub-erythemogenic UV doses, while larger exposures destroy vitamin D and increase DNA damage. Proper UV dosimetry is needed to obtain an optimal vitamin D status when skin cancer risk is minimal. A simple approach to such dosimetry using physically measured accumulated UV dose cannot provide a satisfactory quantification of vitamin D because of the complexity of the processes involved in vitamin D synthesis. A biological dosimeter of vitamin D synthetic UV radiation ('D-dosimeter') has been introduced earlier on the basis of an in vitro model of previtamin D photosynthesis. In the present study in vivo generation of 25-hydroxyvitamin D (25(OH)D) in serum of healthy volunteers exposed to UV radiation from the sunbed was accompanied by in vitro measurements of vitamin D formation using 'D-dosimeter'. It was found that the increase in serum 25(OH)D concentration depended both on the initial 25(OH)D level and on the cumulative sunbed exposure time. The observed linear correlation between in vivo and in vitro data can be used to estimate changes in vitamin D status after UV exposure using only one pre-exposure blood sample combined with further in vitro measurements.
Copyright © 2013 Elsevier B.V. All rights reserved.
PMID: 23591142
Fig. 1.
The UV irradiance spectra from top (1) and bottom (2)
sunbed parts and solar spectrum in Oslo (3)
combined to CIE action spectra of erythema (4)
and previtamin D synthesis in vivo (5)
and with action spectrum of previtamin D formation in vitro (6).
Fig. 2. Similar spectra to the sun
Initial spectrum of 7-DHC in ethanol solution (C = 2.4 × 10−5 mol/L) and its spectral transformations as a result of 2-h sunlight exposure in Oslo (UVA radiant exposure is 3.9 × 105 J/m2 and UVB radiant exposure is 10.2 × 103 J/m2) and 2-h sunbed irradiation (UVA radiant exposure is 15.3 × 105 J/m2 and UVB radiant exposure is 9.4 × 103 J/m2).
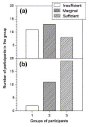
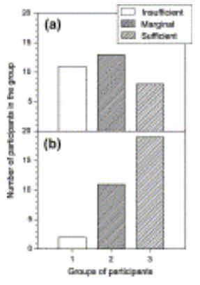
Fig. 4. Those with lowest vitamin D level gained the most (a ==> b)
Number of participants with insufficient (25–50 nmol/L),
marginal (50–75 nmol/L) and
sufficient (75–150 nmol/L) levels of 25(OH)D before (a) and after (b) all 20 sunbed exposures.
Fig. 5.
Box plots of 25(OH)D distributions before and after all sunbed exposures for three volunteer groups: boxes represent interquartile range around median (also depicted), whiskers show 1.5 interquartile ranges above and below the boxes, stars indicate outliers outside the whiskers.
Sorry about the fuzzy figures.
That was all that was available for free.
The good figures and full text would cost >$30 and could not be shared on the internet
It is well known that it takes more Vitamin D/UV to raise the level as the level is higher
See also VitaminDWiki
- Tanning bed, like vitamin D supplements, has non-linear relationship with blood levels – Dec 2011
- Vitamin D from phototherapy lamps, tanning beds, and the sun – Jan 2012
- Tanning beds UVB vary by 4X
- Use of tanning beds would reduce associated deaths by 10X – Oct 2011
- Overview UV and vitamin D
- All items in category UV and vitamin D
388 items - Sunlight Vitamin D and Skin Cancer – Jan 2013
- Hypothesis: vitamin D suppresses skin cancer – Sept 2012
- Overview Suntan, melanoma and vitamin D
Those low on vitamin D get the most sunbed benefit – April 2013Printer Friendly Follow this page for updates8977 visitors, last modified 18 Apr, 2013, This page is in the following categories (# of items in each category)Attached files
ID Name Uploaded Size Downloads 2376 Sunbed 1.jpg admin 18 Apr, 2013 22.09 Kb 1998 2375 Sunbed 2.jpg admin 18 Apr, 2013 13.67 Kb 1909 2374 Sunbed 4.jpg admin 18 Apr, 2013 13.07 Kb 1633 2373 Sunbed 5.jpg admin 18 Apr, 2013 23.34 Kb 1873