Reducing fracture risk with calcium and 800 IU of vitamin D - Aug 2010

Overview Table from PDF of fracture risk studies


Image

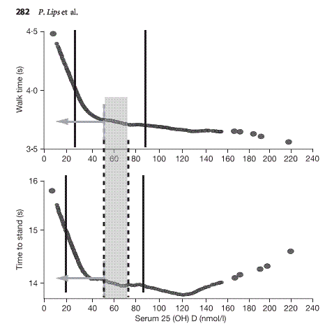
Good enough results for 20 to 30 ng/ml, gets worse above 60 ng/ml

Image

CLICK HERE for PDF

Attached files

ID Name Comment Uploaded Size Downloads
200 vitamin D and elderly - Lips 2010.gif admin 28 Sep, 2010 11.80 Kb 907
163 reduce fracture risk - Aug 2010.gif admin 02 Sep, 2010 27.57 Kb 977