Results in a Decrease of Positive Cores at Repeat Biopsy in Subjects with Low-Risk Prostate Cancer under Active Surveillance
The Journal of Clinical Endocrinology & Metabolism July 1, 2012 vol. 97 no. 7 2315-2324
David T. Marshall, Stephen J. Savage, Elizabeth Garrett-Mayer, Thomas E. Keane, Bruce W. Hollis, Ronald L. Horst, Linda H. Ambrose, Mark S. Kindy and Sebastiano Gattoni-Celli
Departments of Radiation Oncology (D.T.M., L.H.A., S.G.-C.), Urology (S.J.S., T.E.K.), Medicine (Biostatistics) (E.G.-M.), Pediatrics (B.W.H.), and Neurosciences (M.S.K.), Medical University of South Carolina, Charleston, South Carolina 29425; Ralph H. Johnson Veterans Affairs Medical Center (S.J.S., M.S.K., S.G.-C.), Charleston, South Carolina 29401; and Department of Animal Science (R.L.H.), Iowa State University, Ames, Iowa 50011
Address all correspondence and requests for reprints to: Sebastiano Gattoni-Celli, M.D., Strom Thurmond Biomedical Research Building, Room 338C, 114 Doughty Street, Charleston, South Carolina 29403. E-mail: gattonis at musc.edu.
Context: We wanted to investigate vitamin D in low-risk prostate cancer.
Objectives: The objective of the study was to determine whether vitamin D3 supplementation at 4000 IU/d for 1 yr is safe and would result in a decrease in serum levels of prostate-specific antigen (PSA) or in the rate of progression.
Design: In this open-label clinical trial (Investigational New Drug 77,839), subjects were followed up until repeat biopsy.
Setting: All subjects were enrolled through the Medical University of South Carolina and the Ralph H. Johnson Veterans Affairs Medical Center, both in Charleston, SC.
Patients and Other Participants: All subjects had a diagnosis of low-risk prostate cancer.
Fifty-two subjects were enrolled in the study, 48 completed 1 yr of supplementation, and 44 could be analyzed for both safety and efficacy objectives.
Intervention: The intervention included vitamin D3 soft gels (4000 IU).
Main Outcome Measures: Adverse events were monitored throughout the study. PSA serum levels were measured at entry and every 2 months for 1 yr.
Biopsy procedures were performed before enrollment (for eligibility) and after 1 yr of supplementation.
Results: No adverse events associated with vitamin D3 supplementation were observed.
No significant changes in PSA levels were observed.
However,
- 24 of 44 subjects (55%) showed a decrease in the number of positive cores or decrease in Gleason score;
- five subjects (11%) showed no change;
- 15 subjects (34%) showed an increase in the number of positive cores or Gleason score.
Conclusion: Patients with low-risk prostate cancer under active surveillance may benefit from vitamin D3 supplementation at 4000 IU/d.
Clipped from PDF
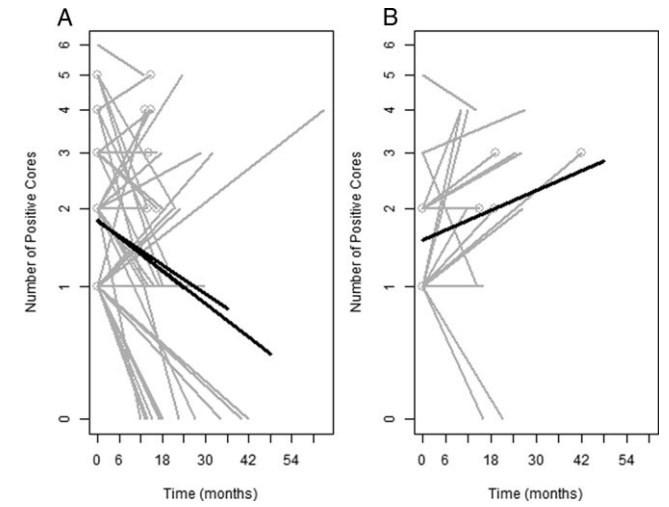
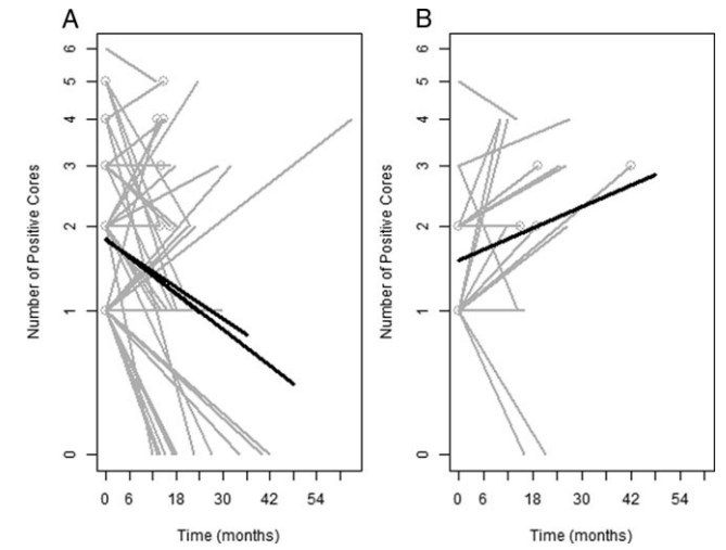
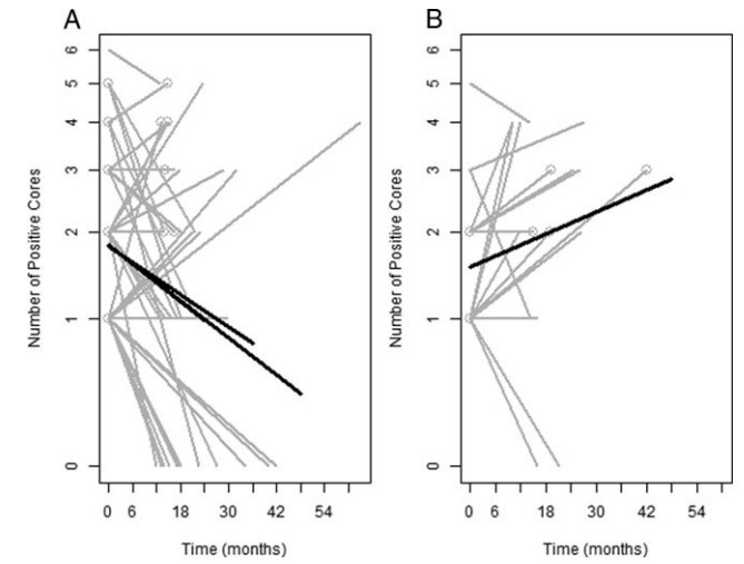
FIG. 4. Trajectories of number of positive cores over time in subjects supplemented with vitamin D3
(A) and untreated historical control subjects (B). A and B,Gray lines represent
individual patient data, and thick solid black lines are the fitted estimate including all data
within 48 months of baseline. The gray circles at the ends of some of thegray lines refer to
subjects with an increase of Gleason score at repeat biopsy or a decrease of Gleason score
from baseline. A, The thick solid black lines are the fitted estimates including all data for 24-,
36-, and 48-month follow-up period, respectively. The slopes are identical between the
24- and 48-month time thresholds (b0.0146), whereas the slope of the 36-month
threshold is slightly flatter (0.0125). All corresponding P values are significant: 0.0090 (24
months); 0.0098 (36 months); 0.00093 (48 months). B, The slope is not significantly different
from 0 (P0.17). However, the slopes in A and B (based on all follow-up data) are
significantly different from each other (P0.002).
PDF is attached at the bottom of this page
Note
- Vitamin D is typically not good as a monotherapy in doses above about 3,000 IU
Cofactors are typically very useful, if for no other reason than to keep the body in balance: Calcium, Magnesium, Vitamin k2, etc.
See also VitaminDWiki
- Extra 4,000 IU daily raised the vitamin D levels of blacks to that of whites – July 2012 article by same corresponding author
- Prostate cancer reduced in high vitamin D two studies – April 2012
- Overview Cancer and vitamin D huge amount of information on vitamin D and all Cancers
Treatment typically needs > 8,000 IU of vitamin D
But must be careful, as vitamin D makes some Chemotherapy more potent - All items in category Prostate Cancer and vitamin D
109 items - 16 percent less Prostate Cancer sometimes for each 10ng vitamin D increase - Jan 2011
- Prostate Cancer – Vitamin D – CYP27B1 – CYP24 – June 2011
- 59 percent more likely to die of Prostate Cancer if very low on vitamin D – April 2011
- Risk of Prostate Cancer weakly associated with vitamin D - meta-analysis March 2011
- Advanced prostate cancer 2X more likely if low vitamin D – Sept 2012
- Proof that Vitamin D Works this study is proof #35
- Prostate Cancer – 300,000 annual deaths, low vitamin D is one of many factors – current status March 2015
- Overview Prostate Cancer and Vitamin D
Low risk Prostate Cancer decreased with 4,000 IU of vitamin D – July 2012Printer Friendly Follow this page for updates39121 visitors, last modified 01 May, 2023, This page is in the following categories (# of items in each category)