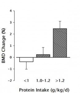
The Paradox of Osteoporosis Irreversibility Dr. Heaney July 2014
He makes a good case for protein being needed to increase Bone Mineral Density (BMD) and has the following chart
Question posted by VitaminDWiki
Is there any evidence that bone structure (spongy latticework ) is rebuilt, rather than just BMD increased with increased protein, Calcium and Vitamin D?
Also - Magnesium and Vitamin K2 are vital for building bones
A Calcium-Collagen Chelate Dietary Supplement Attenuates Bone Loss in Postmenopausal Women with Osteopenia: A Randomized Controlled Trial - 2014
J Med Food. 2014 Oct
Elam ML1, Johnson SA, Hooshmand S, Feresin RG, Payton ME, Gu J, Arjmandi BH.
Menopause leads to an increased risk for osteoporosis in women. Although drug therapies exist, increasing numbers of people prefer alternative therapies such as dietary supplements, for example, calcium, vitamin D, and collagen hydrolysates for the prevention and treatment of osteoporosis.
We have previously shown that a 3-month intervention using a calcium-collagen chelate (CC) dietary supplement was efficacious in improving bone mineral density (BMD) and blood biomarkers of bone turnover in osteopenic postmenopausal women. This study reports the long-term efficacy of CC in reducing bone loss in postmenopausal women with osteopenia.
Thirty-nine women were randomly assigned to one of two groups: 5 g of CC containing 500 mg of elemental calcium and 200 IU vitamin D (1,25-dihydroxyvitamin D3) or control (500 mg of calcium and 200 IU vitamin D) daily for 12 months. Total body, lumbar, and hip BMD were evaluated at baseline, 6 and 12 months using dual-energy X-ray absorptiometry. Blood was collected at baseline, 6 and 12 months to assess levels of blood biomarkers of bone turnover. Intent-to-treat (ITT) analysis was performed using repeated measures analysis of variance pairwise comparisons and multivariate analysis to assess time and group interactions.
The loss of whole body BMD in women taking CC was substantially lower than that of the control group at 12 months in those who completed the study and the ITT analysis, respectively (CC: -1.33% and -0.33% vs. control: -3.75% and -2.17%; P=.026, P=.035). The CC group had significantly reduced levels of sclerostin and tartrate-resistant acid phosphatase isoform 5b (TRAP5b) (P<.05), and higher bone-specific alkaline phosphatase/TRAP5b ratio (P<.05) than control at 6 months. These results support the use of CC in reducing bone loss in osteopenic postmenopausal women.
Google Scholar rsported 84 references of this study as of Jan 2020
- Biological effect of hydrolyzed collagen on bone metabolism - 2015, https://doi.org/10.1080/10408398.2015.1038377 FREE PDF
- Specific Collagen Peptides Improve Bone Mineral Density and Bone Markers in Postmenopausal Women—A Randomized Controlled Study Jan 2018
ConsumerLab has an extensive review of Collagen supplements - Jan 2020
Amount of Collogen per day varied hugely: from 0.01 gram to 10 grams per day
Cost per gram ranged between $0.05 and $4.
(Consumerlab gives a free 5 day trial of their excellent service
See also VitaminDWiki
- Healthy bones need Ca, Silicon, Vitamins B, C, D, and K – Dec 2012
- Vitamin D levels increased, Bone Density Loss decreased (Tasmania) – March 2021
Pages listed in BOTH the categories Bone and Magnesium
- Which supplements are often taken for healing hairline bone fractures
- Magnesium helps bones a bit – meta-analysis Jan 2022
- Magnesium increases Vitamin D, which increases Mg. Both increase bone – Oct 2019
- Vitamin D and Calcium do not increase bone density (also need exercise, Mg, K2, protein etc.) – RCT Aug 2019
- Many seniors do not get enough protein, Vitamin D, Mg, etc. needed for bones – Feb 2019
- More Magnesium makes more bone when there is enough Vitamin D (petri dish) – Jan 2019
- Diagnosis and treatment of osteopenia – Holick 2010
- Adding just vitamin D again failed to add bone density (also need Magnesium, Vitamin K, etc) – RCT Aug 2018
- MAGNESIUM IN MAN - IMPLICATIONS FOR HEALTH AND DISEASE – review 2015
- Stronger bones after 3 generations of tap water (more Ca and Mg) vs bottled water – March 2015
- Bones grow better with high level of magnesium: rat study – Dec 2013
- 20 percent fewer male hip fractures if more Magnesium in the water – July 2013
- Magnesium may be more important to kids’ bone health than calcium – May 2013
- Healthy bones need: Calcium, Vitamin D, Magnesium, Silicon, Vitamin K, and Boron – 2012
- Vitamin D, K2, Magnesium, etc increase bone density when taking together– Jan 2012
- 400 IU of vitamin D Magnesium and Calcium helped Twin bones – Feb 2011
Pages listed in BOTH the categories Bone and Vitamin K2
- Spinal fusion surgery greatly improved by Vitamin K2 - RCT May 2025
- Which supplements are often taken for healing hairline bone fractures
- Vitamin K2-7 helps bone, blood vessels, cancer, diabetes, etc. – June 2022
- Role of Vitamin K in Bones and Muscles - Feb 2022
- Bone loss results in blood vessel plaque if low Vitamin K2, less bone loss if high K2– April 2021
- Bone increased : Stiffness (Vitamin D), Flexibility (Vitamin K2) – Sept 2020
- Bone quality improved 2X by Vitamin D plus Vitamin K2 (trend) – meta-analysis March 2020
- Vitamin D and Calcium do not increase bone density (also need exercise, Mg, K2, protein etc.) – RCT Aug 2019
- Vitamin K (any amount and any kind) reduced bone fractures by 24 percent – meta-analysis – May 2019
- Calcium Supplementation is OK provided you also take Vitamin K – Feb 2019
- Hard bones, soft arteries, rather than vice versa (Vitamin D and Vitamin K) – March 2016
- Many seniors do not get enough protein, Vitamin D, Mg, etc. needed for bones – Feb 2019
- Adding just vitamin D again failed to add bone density (also need Magnesium, Vitamin K, etc) – RCT Aug 2018
- Osteocalcin – overview of the hormone needed to build bones, etc. Jan 2018
- Vitamin K and bone – review Oct 2017
- Bone formation in the lab is aided by Vitamin D, Vitamin K1, and Vitamin K2 – meta-analysis Nov 2017
- Better bones again associated with higher vitamin K intake – Nov 2015
- Vitamin K-2 – bone biomarkers indicate at least 600 ug of MK-4 are needed daily – Sept 2014
- Vitamin K2 (as MK-7) is needed for bone quality – Review Feb 2013
- Increased Vitamin K2 reduces the problems of excess Calcium – Nov 2013
- Vitamin K and bone health – need more research Oct 2013
- Vitamin K-2 (180 ug MK-7) helped both bone density and strength – RCT March 2013
- Healthy bones need Ca, Silicon, Vitamins B, C, D, and K – Dec 2012
- Increasing bone mineral density increases breast cancer by at least 2X – Aug 2012
- Healthy bones need: Calcium, Vitamin D, Magnesium, Silicon, Vitamin K, and Boron – 2012
- Vitamin D, K2, Magnesium, etc increase bone density when taking together– Jan 2012
- BONE SPURS not produced if have enough Vitamin D3, Vitamin K2, etc. – Nov 2011
- Vitamin K1 reduced hip fracture but Vitamin K2 did not – Aug 2011
- Women with hip fractures very low on vitamins D3 and K – Mar 2011
- Vitamin K2 from natto improved bone mineral density – March 2011
See also web
- Your Bones: How You Can Prevent Osteoporosis and Have Strong Bones for Life-Naturally| March 2013 Amazon Kindle edition <$8
AlgaeCal + Vitamin D + Strontium + Magnesium + Vitamin K2 + Boron + Vitamin C + Exercise
==> 4% increase each year in Dexa-scan T-scores (Bone Density, not bone strength)
has about 100 pages of endnotes - details - Bone Carbon 14 dating
30% of bone is composed of organic compounds, of which 90 to 95% is collagen
70% of bone = inorganic mineral hydroxyapatite, which includes calcium phosphate, calcium carbonate, calcium fluoride, calcium hydroxide and citrate.
([Ca3(P)4)2]3.Ca(OH)2)
VitaminDWiki doubts that the resulting increased BMD re-attaches the latticework inside of the bones