Association of Diabetes Mellitus with a Combination of Vitamin D Deficiency and Arsenic Exposure in the Korean General Population: Analysis of 2008–2009 Korean National Health and Nutrition Examination Survey Data
Annals of Occupational and Environmental Medicine 2013, 25:7 doi:10.1186/2052-4374-25-7
Byung-Kook Lee1 and Yangho Kim2; yanghokm at nuri.net
- 1 Institute of Environmental & Occupational Medicine, Soonchunhyang University 646 Eupnae-ri, Shinchang-myun, Asan-si, Choongnam, 336-745, South Korea
- 2 Department of Occupational and Environmental Medicine, Ulsan University Hospital, University of Ulsan College of Medicine, Ulsan, South Korea
Objectives We present data from the Korean National Health and Nutritional Examination Survey (KNHANES) 2008–2009 on the combination of vitamin D deficiency and arsenic exposure on diabetes mellitus (DM) in a representative sample of the adult Korean population.
Methods: This study was based on data obtained from the KNHANES 2008–2009, which was conducted for 3 years (2007–2009) using a rolling sampling design that involved a complex, stratified, multistage, probability-cluster survey of a representative sample of the non-institutionalized civilian population in South Korea.
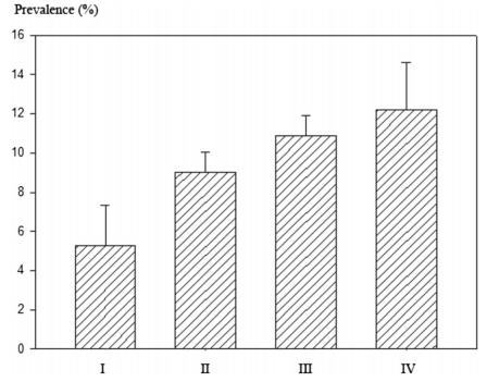
Results: Data analysis revealed that subjects who showed both vitamin D levels in the 1st quartile (Q) and urinary arsenic levels in the 4th Q, had a 302% increased risk of having DM, as compared with those whose vitamin D and urinary arsenic levels were in the 4th Q and 1st Q, respectively.
Conclusion: The present study reconfirmed an association of DM with low vitamin D levels and arsenic exposure, and further showed a combination of vitamin D deficiency and arsenic exposure on DM in the general Korean population.
To the best of our knowledge, this is the first report describing a combination of vitamin D deficiency and arsenic exposure on DM. The present findings have important public health implications.
PDF is attached at the bottom of this page
See also VitaminDWiki
- Overview Diabetes and vitamin D
- All items in Diabetes and Vitamin D
564 items - Arsenic in water is associated with lung problems if low vitamin D - 2019
3X increase Diabetes if low vitamin D AND Arsenic in urine – May 2013Printer Friendly Follow this page for updates7760 visitors, last modified 10 Sep, 2019, This page is in the following categories (# of items in each category)Attached files
ID Name Uploaded Size Downloads 2518 Diabetes Arsenic.jpg admin 25 May, 2013 24.34 Kb 1429 2517 Diabetes Arsenic.pdf admin 25 May, 2013 368.98 Kb 881