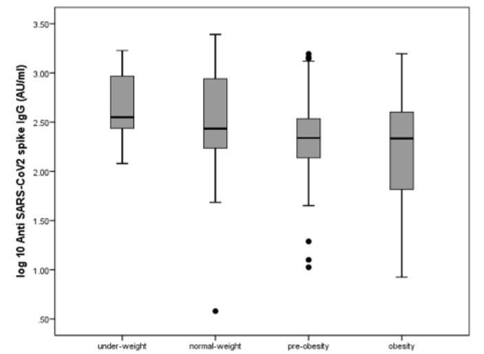
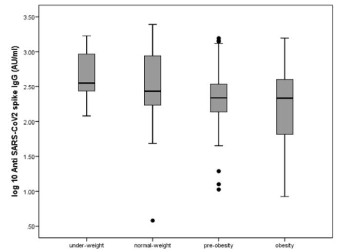
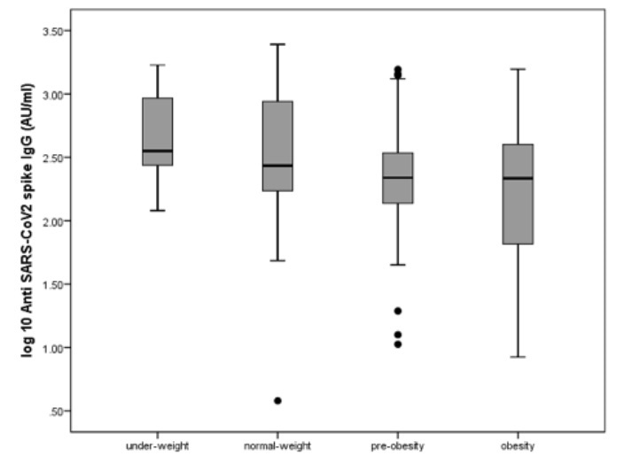
BMI, age, and gender affect COVID-19 vaccine antibody response MDEdge
based on preprint Feb 26 - seems like only 10% or less
VitaminDWiki observes that
1) Obese have lower levels of vitamin D
2) Lower levels of vitamin D are associated with poorer immune systems
VitaminDWiki
- Virus (adeno-36) increases Obesity which then increases risk of another virus (Influenza) - Oct 2013
Overview Obesity and Vitamin D contains the following summary
- FACT: People who are obese have less vitamin D in their blood
- FACT: Obese need a higher dose of vitamin D to get to the same level of vit D
- FACT: When obese people lose weight the vitamin D level in their blood increases
- FACT: Adding Calcium, perhaps in the form of fortified milk, often reduces weight
- FACT: 204 trials for vitamin D intervention of obesity as of April 2025
- FACT: Less weight gain by senior women with > 30 ng of vitamin D
- FACT: Dieters lost additional 5 lbs if vitamin D supplementation got them above 32 ng - RCT
- FACT: Obese lost 3X more weight by adding $10 of Vitamin D
- FACT: Those with darker skins were more likely to be obese Sept 2014
- OBSERVATION: Low Vitamin D while pregnancy ==> more obese child and adult
- OBSERVATION: Many mammals had evolved to add fat and vitamin D in the autumn
- and lose both in the Spring - unfortunately humans have forgotten to lose the fat in the Spring
- SPECULATION: Low vitamin D might be one of the causes of obesity – several studies
- SUGGESTION: Probably need more than 4,000 IU to lose weight if very low on vitamin D due to
risk factors such as overweight, age, dark skin, live far from equator,shut-in, etc. - Obesity category has
453 items See also: Weight loss and Vitamin D - many studies Child Obesity and Vitamin D - many studies Obesity, Virus, and Vitamin D - many studies
Obese need more Vitamin D- Normal weight Obese (50 ng = 125 nanomole)
- Normal weight Obese (50 ng = 125 nanomole)
Obesity is associated with low Vitamin D (and treated by D as well) – Aug 2019 has the following
Fast weight loss by Obese Adults: Summary of the data as of Sept 2019
1) 50,000 IU Vitamin D weekly for at least 6 months
If gut problems, should use a gut-friendly form of vitamin D
2) Add calorie restriction diet and light exercise after ~2 months*
* Vitamin D levels must be above 30ng/ml to help with weight loss
* Start losing weight 2 months sooner if take a 50,000 IU daily for a week
3) More weight loss if also add Magnesium or cofactors
30% Improved Vitamin D response with Magnesium - a Vitamin D Cofactor
Note: Magnesium reduces weight loss by itself as well
20% improved vitamin D response if also add Omega-3 a Vitamin D Cofactor
Note: Omega-3 reduces weight loss by itself as well
4) More weight loss if also improve activation of Vitamin D Receptor
Vitamin D Receptor activator: 0-30% improved Vitamin D response
Obesity 1.5 X more likely if poor Vitamin D Receptor – meta-analysis Nov 2019
Update Dec 2019 - Dr. Greger plant-based eating (not diet) for both weight loss and health.
His book does not mention Vitamin D nor AdenovirusFlu has the following
Vitamin D fights all phases of Influenza
- FACT: Vitamin D PREVENTS Influenza 7X lower risk
- FACT: Vitamin D SUPRESSES Influenza ( Vitamin D Hammer )
- Single dose of 50,000 IU of vitamin D stops Influenza symptoms
- FACT: Vitamin D PREVENTS & SUPRESSES Sepsis which is a rare but deadly consequence of Influenza
- FACT: Vitamin D enhances the activity of vaccines.
- FACT: improves Flu vaccine effectiveness and reduces side effects
- FACT: Vitamin D has virtually no side effects
- but 1 in 300 get people get muscle pain or itching due to lower magnesium levels
- FACT: Vitamin D prevents/suppresses over 280 health problems (left column)
- FACT: Both COVID-19 and Influenza are enveloped viruses
- FACT: Do not take vitamin D if Sarcoidosis, excess Calcium, Chemotherapy
- CONCLUSION To help protect/suppress influenza, take 50,000 IU of Vitamin D once a week
during the flu season if you are an average weight adult
Web
- How obesity could create problems for a COVID vaccine Nature Oct 2020
Obese get less benefit from vaccines: influenza, hepatitis B, rabies and now COVID-19 - March 2021Printer Friendly Follow this page for updates8514 visitors, last modified 01 Aug, 2021, This page is in the following categories (# of items in each category)