Loading...
 

Low Vitamin D if low UV (Pregnant Japanese, 2012) – March 2019

High frequency of vitamin D deficiency in current pregnant Japanese women associated with UV avoidance and hypo-vitamin D diet

PLOS x, March 4, 2019 https://doi.org/10.1371/journal.pone.0213264
Kumiko T. Kanatani , Takeo Nakayama, Yuichi Adachi, Kei Hamazaki, Kazunari Onishi, Yukuo Konishi, Yasuyuki Kawanishi, Tohshin Go, Keiko Sato, Youichi Kurozawa, Hidekuni Inadera, Ikuo Konishi, Satoshi Sasaki, Hiroshi Oyama, Japan Environment and Children's Study Group

VitaminDWiki

 Download the PDF from VitaminDWiki
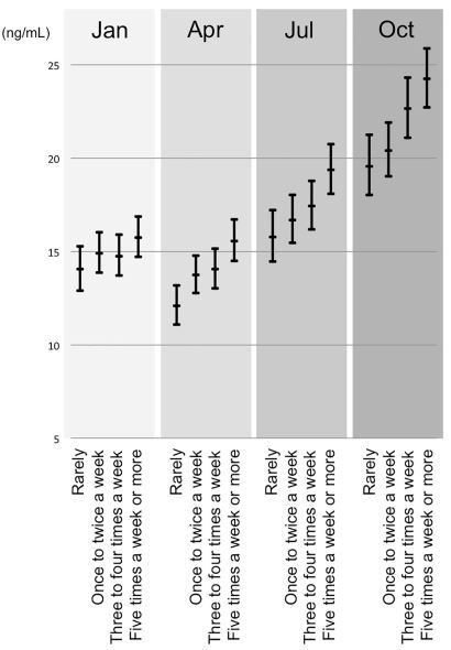
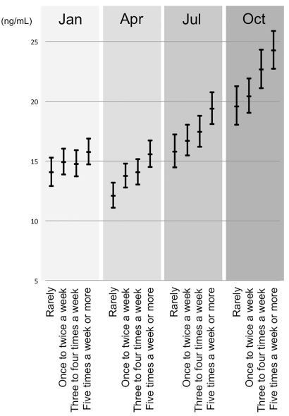
Image
Amount of time in sun (anytime of the day) vs season
Image

Background
As a consequence of indoor occupations and reduced exposure to sunlight, concerns have been raised that vitamin D deficiency is widespread in developed countries. Vitamin D is known to be associated with increased risks of morbidity and mortality in various diseases.

Objective
To investigate the serum vitamin D status and its relation with life-style factors in pregnant Japanese women.

Methods
Among a cohort for 3,327 pregnant women who participated in an the adjunct study of the Japan Environment and Children's Study during 2011–2013, in which data were obtained on various life-style factors, including both dietary intake of vitamin D and frequency of UV exposure, this study consisted of 1,592 pregnant women, from whom 2,030 serum samples were drawn in Jan, Apr, Jul, and Oct, and the association between serum 25(OH)D level and life-style factors were analyzed using linear mixed models.

Results
Serum 25(OH)D levels were less than 20ng/mL in 1,486 of 2,030 samples (73.2%). There was an obvious seasonal change, with serum 25(OH)D levels of less than 20 ng/mL in 89.8% and 47.8% of samples in spring (April) and autumn (October), respectively. Both the frequency spent under sunlight and dietary intake of vitamin D were significantly associated with serum 25(OH)D level. An increase in sunlight exposure of more than 15 min for 1 to 2 days per week in non-winter, or dietary intake of 2 μg/day of vitamin D resulted in an elevation of 1 ng/mL in serum 25(OH)D levels.

Conclusion
These findings indicate that vitamin D deficiency is very severe in Japanese pregnant women, especially those rarely exposed to sunlight. The benefits of UV rays should also be informed of when its risk is alerted, and clinicians should propose the adequate UV exposure level.


Created by admin. Last Modification: Thursday March 7, 2019 15:27:55 GMT-0000 by admin. (Version 21)

Attached files

ID Name Comment Uploaded Size Downloads
11519 Preg F4 dietary intake.jpg admin 04 Mar, 2019 32.11 Kb 357
11518 Preg F3.jpg admin 04 Mar, 2019 32.33 Kb 688
11517 Preg 1st trimester.jpg admin 04 Mar, 2019 80.91 Kb 681
11516 pregnant Japanese.pdf admin 04 Mar, 2019 2.02 Mb 738