Loading...
 

Infants getting lots of vaccinations are 2X more likely to die - July 2023


Neonatal, Infant, and Under Age Five Vaccine Doses Routinely Given in Developed Nations and Their Association With Mortality Rates

Cureus. 2023 Jul 20;15(7):e42194. doi: 10.7759/cureus.42194
Neil Z Miller 1, Gary S Goldman 2

Image
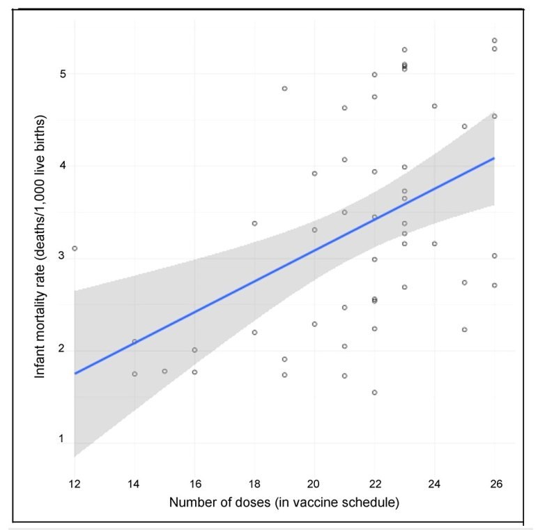
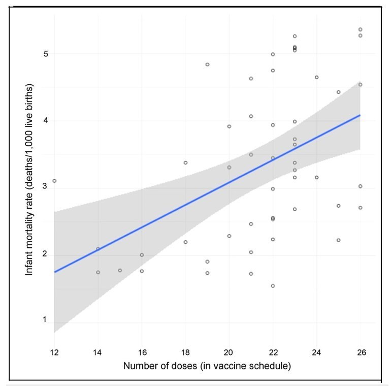
Introduction In 2011, using 2009 data, we published a study demonstrating that among the most highly developed nations, those requiring the most vaccine doses for their infants tended to have the least favorable infant mortality rates (r = 0.70, p < .0001). Twelve years later, we replicated our original study using 2019 data. Linear regression analysis corroborated the positive trend reported in our initial paper (r = 0.45; p < .002). Herein, we broaden our analyses to consider the effect of vaccines on neonatal and under age five mortality rates.

Objective We performed several investigations to explore potential relationships between the number of early childhood vaccine doses required by nations and their neonatal, infant, and under age five mortality rates.

Methods In this ecological study, we conducted linear regression analyses of neonatal, infant, and under age five vaccine doses required by nations and their neonatal, infant, and under age five mortality rates. All analyses were based on 2019 and 2021 data. We also stratified nations by the number of neonatal vaccine doses required and conducted a one-way ANOVA test and a post hoc Tukey-Kramer test to determine if there were statistically significant differences in the group mean neonatal, infant, and under age five mortality rates of nations that administered zero, one, or two neonatal vaccine doses.

Results Linear regression analyses of neonatal vaccine doses required by nations in our 2021 dataset yielded statistically significant positive correlations to rates of neonatal mortality (r = 0.34, p = .017), infant mortality (r = 0.46, p = .0008), and under age five mortality (r = 0.48, p = .0004). Similar results were reported using 2019 data. Utilizing 2021 data, a post hoc Tukey-Kramer test indicated a statistically significant pairwise difference between the mean neonatal mortality rates, mean infant mortality rates, and mean under age five mortality rates of nations requiring zero vs. two neonatal vaccine doses. There was a statistically significant difference of 1.28 deaths per 1000 live births (p < .002) between the mean infant mortality rates among nations that did not give their neonates any vaccine doses and those that required two vaccine doses. Using 2019 and 2021 data, 17 of 18 analyses (12 bivariate linear regressions and six ANOVA and Tukey-Kramer tests) achieved statistical significance and corroborated the findings reported in our original study of a positive association between the number of vaccine doses required by developed nations and their infant mortality rates.

Conclusions There are statistically significant positive correlations between mortality rates of developed nations and the number of early childhood vaccine doses that are routinely given. Further investigations of the hypotheses generated by this study are recommended to confirm that current vaccination schedules are achieving their intended objectives.
 Download the PDF from VitaminDWiki


VitaminDwiki - Problems after childhood vaccinations - many studies :

Increased Office Visits start about 500 days after vaccination
Image


14+ Child pages have VACCIN, BOOSTER, etc in the title

This list is automatically updated

Items found: 28
Title Modified
37 VAERS Events after COVID-19 vaccination in pregnancy - Sept 2025 28 Sep, 2025
Vaccinated kids: 4X more asthma, 6.5 X more neuro, more chronic - Sept 2025 10 Sep, 2025
Death of infant twins due to 5 vaccinations, not measles - July 2025 16 Jul, 2025
Sudden Infant Deaths (SIDS) soon after vaccination - many studies 09 May, 2025
Childhood vaccinations are recommended, not mandatory - Japan since 1994 06 Apr, 2025
4.4 X INCREASE in other respiratory infections in children with influenza vaccinations – RCT June 2012 25 Feb, 2025
Multiple Childhood Vaccinations increased autism risk by 4.4 X (Florida) – Jan 2025 26 Jan, 2025
Pfizer COVID vaccinations resulted in altering immune systems (increased IgG4 ) – Aug 2024 20 Aug, 2024
FDA study of 4 million children found 2 COVID-19 vaccination red flags, but continue to push boosters – May 2024 07 May, 2024
US has the most vaccinations before age 1 and the most deaths - March 2024 26 Mar, 2024
18,000 schoolchildren in Canada to be suspended for not being vaccinated - Feb 2024 27 Feb, 2024
COVID Vaccinated Children 1.25 X More Likely to Be Hospitalized for Respiratory Illness - CDC Jan 2024 12 Jan, 2024
France has injected 200,000 infants with RSV vaccine, based on no long-term data - Here we go again - Dec 2023 27 Dec, 2023
Brazil mandates COVID-19 vaccine for children - Nov 2023 10 Nov, 2023
Doctors in NY cannot opt out of COVID boosters for children - Oct 2023 02 Oct, 2023
Infants getting lots of vaccinations are 2X more likely to die - July 2023 04 Aug, 2023
CDC advised to recommended annual COVID vaccination of all children over 6 months old – Oct 20, 2022 24 Oct, 2022
6X increase in excess deaths of children since vaccinations were started - Oct 2022 02 Oct, 2022
28,859 deaths and 238,412 serious injuries due to vaccines, how many more when add ages 0.5 - 5 – June 2022 21 Jun, 2022
Vaccinations resulted in increased office visits for children 16 months later - Nov 2020 24 May, 2022
Problems after childhood vaccinations - many studies 24 May, 2022
FDA approved 5-11 vaccine booster (based tiny unpublished study without asking advisory panel) May 2022 17 May, 2022
16,000 Physicians and Scientists Agree Kids Shouldn’t Get COVID Vaccine - Dec 15, 2021 16 Dec, 2021
COVID Vaccination trial for kids: 11 red flags - Oct 25, 2021 26 Oct, 2021
TB vaccinations increased vitamin D levels a year later – Jan 2012 20 Oct, 2021
Vaccinated children had more chronic diseases - Sept 2018 17 Dec, 2020
More US infants die in 1st day than in all other developed countries COMBINED (and US gives vaccine in first day) – May 2013 25 Sep, 2018
Autism and ADHD type disorders were 14X more likely in survey of extreme preterm vaccinated infants - April 2017 04 Jul, 2018

Attached files

ID Name Comment Uploaded Size Downloads
19905 Infant vaccinations.jpg admin 04 Aug, 2023 42.84 Kb 241
19904 Infant vaccines doses and subsequent deaths_CompressPdf.pdf admin 04 Aug, 2023 263.81 Kb 198