Accuracy of 6 Routine 25-Hydroxyvitamin D Assays: Influence of Vitamin D Binding Protein Concentration
Clinical Chemistry March 2012 vol. 58 no. 3 543-548
Annemieke C. Heijboer1, a.heijboer at vumc.nl
Marinus A. Blankenstein1,
Ido P. Kema2 and
Madelon M. Buijs3
1 Department of Clinical Chemistry, VU University Medical Center, Amsterdam, the Netherlands;
2 Department of Laboratory Medicine, University Medical Center, Groningen, the Netherlands;
3 Medial Diagnostic Centers, Hoofddorp, the Netherlands.
BACKGROUND: Recent recognition of its broad pathophysiological importance has triggered an increased interest in 25-hydroxyvitamin D [25(OH)D]. By consequence, throughput in 25(OH)D testing has become an issue for clinical laboratories, and several automated assays for measurement of 25(OH)D are now available. The aim of this study was to test the accuracy and robustness of these assays by comparing their results to those of an isotope dilution/online solid-phase extraction liquid chromatography/tandem mass spectrometry (ID-XLC-MS/MS) method. We put specific focus on the influence of vitamin D–binding protein (DBP) by using samples with various concentrations of DBP.
METHODS: We used 5 automated assays (Architect, Centaur, iSYS, Liaison, and Elecsys), 1 RIA (Diasorin) preceded by extraction, and an ID-XLC-MS/MS method to measure 25(OH)D concentrations in plasma samples of 51 healthy individuals, 52 pregnant women, 50 hemodialysis patients, and 50 intensive care patients. Using ELISA, we also measured DBP concentrations in these samples.
RESULTS: Most of the examined 25(OH)D assays showed significant deviations in 25(OH)D concentrations from those of the ID-XLC-MS/MS method.
As expected, DBP concentrations were higher in samples of pregnant women and lower in samples of IC patients compared to healthy controls.
In 4 of the 5 fully automated 25(OH)D assays, we observed an inverse relationship between DBP concentrations and deviations from the ID-XLC-MS/MS results.
CONCLUSIONS: 25(OH)D measurements performed with most immunoassays suffer from inaccuracies that are DBP concentration dependent. Therefore, when interpreting results of 25(OH)D measurements, careful consideration of the measurement method is necessary.
Received for publication September 27, 2011; Accepted for publication December 2, 2011.
PDF of article and editorial are attached at bottom of this page
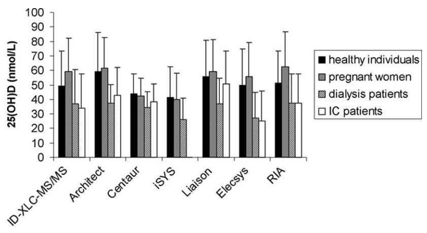
Each same-shaded bar is the result of testing of 50 women
Notice the difference between same-shaded bars by different testing systems
Largest differences between systems are for pregnant women (who have the largest differences in vitamin D–binding protein)
See also VitaminDWiki
- Percent who are Vitamin D Deficient: 6, 9, or 22 – depends on testing system – Oct 2014
- All items in category Test for D
162 items - All items in category VDB
180 items - Vitamin D test results vary as much as 30 ng between test labs – Jan 2012
- Google site search for dbp (test OR testing) at VitaminDWiki 710 items Oct 2014
Different measurements from 6 vitamin D testing systems – Mar 2012Printer Friendly Follow this page for updates7227 visitors, last modified 16 Oct, 2014, This page is in the following categories (# of items in each category)Attached files
ID Name Uploaded Size Downloads 1125 Accuracy Fig1.jpg admin 01 Mar, 2012 30.58 Kb 1817 1124 Editorial on vitamin D comparision March 2012.pdf admin 01 Mar, 2012 51.24 Kb 1446 1123 Vitamin D test comparison Clinical Chemistry.pdf admin 01 Mar, 2012 473.03 Kb 1057 - All items in category VDB