Seven Weeks of High-Dose Vitamin D Treatment Reduces the Need for Infliximab Dose-Escalation and Decreases Inflammatory Markers in Crohn’s Disease during One-Year Follow-Up
Nutrients 2021, 13(4), 1083; https://doi.org/10.3390/nu13041083
by Mia Bendix 1,2,*,Anders Dige 1,Søren Peter Jørgensen 1,Jens Frederik Dahlerup 1,Bo Martin Bibby 3,Bent Deleuran 4,5OrcID andJørgen Agnholt 1OrcID
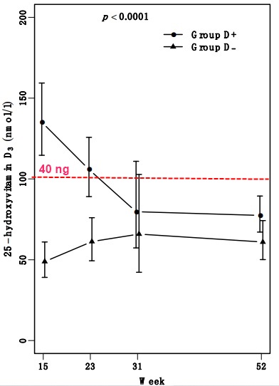
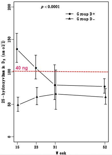
200,000 IU the first day then 20,000 IU daily for 7 weeks
| For most diseases the group with high dose of vitamin D would have similar levels to placebo group after 4-5 months Perhaps the high-dose vitamin D reduced the Crohn's disease and improved gut bacteria enough that vitamin D absorption by the gut improved for the rest of the year | |||
They would have probably had even better results if they had used a gut-friendly vitamin D
Overview Gut and vitamin D has the following summary
- Gut problems result in reduced absorption of Vitamin D, Magnesium, etc.
- Celiac disease has a strong genetic component.
- Most, but not all, people with celiac disease have a gene variant.
- An adequate level vitamin D seems to decrease the probability of getting celiac disease.
- Celiac disease causes poor absorption of nutrients such as vitamin D.
- Bringing the blood level of vitamin D back to normal in patients with celiac disease decreases symptoms.
- The prevalence of celiac disease, not just its diagnosis, has increased 4X in the past 30 years, similar to the increase in Vitamin D deficiency.
- Review in Nov 2013 found that Vitamin D helped
Many intervention clinical trials with vitamin D for Gut problems (101 trials listed as of Sept 2019) - All items in category gut and vitamin D
217 items
Overview Gut and vitamin D contains gut-friendly informationGut-friendly, Sublingual, injection, topical, UV, sunshineGetting Vitamin D into your blood and cells has the following chart
Getting Vitamin D into your blood and cells also has the following
If poorly functioning gut
Bio-D-Mulsion Forte – especially made for those with poorly functioning guts, or perhaps lacking gallbladder
Sublingual – goes directly into the bloodstream
Fat-soluble Vitamins go thru the slow lymph system
you can make your own sublingual by dissolving Vitamin D in water or use nano form
Oil: 1 drop typically contains 400 IU, 1,000 IU, or 4,000 IU, typically not taste good
Topical – goes directly into the bloodstream. Put oil on your skin, Use Aloe vera cream with Vitamin D, or make your own
Vaginal – goes directly into the bloodstream. Prescription-only?
Bio-Tech might be useful – it is also water-soluble
Vitamin D sprayed inside cheeks (buccal spray) - several studies
and, those people with malabsorption problems had a larger response to spray
Inject Vitamin D quarterly into muscle, into vein, or perhaps into body cavity if quickly needed
Nanoparticles could be used to increase vitamin D getting to the gut – Oct 2015
Poor guts need different forms of vitamin D has the following
Guesses of Vitamin D response if poor gutBio Form Speed Duration 10 Injection ($$$)
or Calcidiol or CalcitriolD - Slow
C -FastLong 10 Sun/UVB Slow Long 10 Topical
(skin patch/cream, vagina)Slow
Fast nanoNormal 9 Nanoemulsion -mucosal
perhaps activates VDRFast Normal 9? Inhaled (future) Fast Normal 8 Bio-D-Mulsion Forte Normal Normal 6 Water soluble (Bio-Tech) Normal Normal 4 Sublingual/spray
(some goes into gut)Fast Normal 3 Coconut oil based Slow Normal 2 Food (salmon etc.) Slow Normal 2 Olive oil based (majority) Slow Normal 10= best bioavailable, 0 = worst, guesses have a range of +-2
Speed: Fast ~2-6 hours, Slow ~10-30 hours
Duration: Long ~3-6 months, Normal = ~2 months
Gut category listing contains the following217 items in GUT category - see also Overview Gut and vitamin D, - Ulcerative Colitis and Vitamin D - many studies 12+
- "celiac disease" OR CD 1830 items July 2019
- IBS or IBD or IRRITABLE BOWEL in title of 40 VitaminDWiki pages as of Jan 2025
- Gut-Friendly forms of vitamin D
- such as: bio-emulsion, topical, spray, sublingual, inhaled, injection .
47 items along with related searches. - Gut bacteria of Crohn's disease patients improved by Vitamin D – March 2018
- Strong interactions between Vitamin D and the gut microbiota via Butyrate and VDR – Dec 2019
- Crohn’s disease helped when vitamin D level raised above 30 ng – RCT Feb 2015
 Download the PDF from VitaminDWiki
Background: Seven weeks of high-dose vitamin D treatment decreases intestinal IL17A and IFN-γ mRNA expression in active Crohn’s disease (CD). In this follow-up study, we investigated whether seven-week vitamin D treatment affected the infliximab response in the following 45 weeks compared to placebo.
Methods: CD patients (n = 40) were initially randomised into four groups: infliximab + vitamin-D; infliximab + placebo-vitamin-D; placebo-infliximab + vitamin-D; and placebo-infliximab + placebo-vitamin-D. Infliximab (5 mg/kg) or placebo-infliximab was administered at weeks 0, 2 and 6. Vitamin D (5 mg bolus followed by 0.5 mg/day for 7 weeks) or placebo-vitamin D was handed out. After the 7-week vitamin D period, all patients received infliximab during follow-up. Results are reported for Group D+ (infliximab + vitamin-D and placebo-infliximab + vitamin-D) and Group D- (infliximab + placebo-vitamin-D and placebo-infliximab + placebo-vitamin-D).
Results: Group D- patients had greater needs for infliximab dose escalation during follow-up compared to group D+ (p = 0.05). Group D+ had lower median calprotectin levels week 15 (p = 0.02) and week 23 (p = 0.04) compared to group D-. Throughout follow-up, group D+ had 2.2 times (95% CI: 1.1–4.3) (p = 0.02) lower median CRP levels compared with group D-.
Conclusions: Seven weeks high-dose vitamin D treatment reduces the need for later infliximab dose-escalation and reduces inflammatory markers. EudraCT no. 2013-000971-34.
Crohn’s Disease reduced for a year by 7 weeks of high dose Vitamin D – RCT March 2021Printer Friendly Follow this page for updates13264 visitors, last modified 18 Jan, 2023, This page is in the following categories (# of items in each category)Attached files
ID Name Uploaded Size Downloads 15321 1 year.jpg admin 26 Mar, 2021 30.89 Kb 491 15320 high dose Crohns.pdf admin 26 Mar, 2021 908.64 Kb 447