Association between Blood 25-Hydroxyvitamin D Levels and Survival in Colorectal Cancer Patients: An Updated Systematic Review and Meta-Analysis.
Nutrients. 2018 Jul 13;10(7). pii: E896. doi: 10.3390/nu10070896.
Maalmi H1,2, Walter V3, Jansen L4, Boakye D5, Schöttker B6,7, Hoffmeister M8, Brenner H9,10,11.
This again has documented the association of Colorectal Cancer with Vitamin D
This study, like many of the previous ones, asks for trials to be run to see that is it more than an association
Clinical trials are listed for Colorectal Cancer and Vitamin D 18 as of July 2018
Most of the trials deal with TREATMENT, not PREVENTION.
Most of the trials are still underway, and it appears that none of been published as of July 2018
I anticipate that someone will do a re-analysis of a long-term clinical trial which used high dose vitamin D for some other health problem. Suspect that they will be able to find a decrease in colorectal cancer in the elderly group which got high dose vitamin D for > 5 years.
Henry Lahore, founder of VitaminDWiki
Cancer - Colon category starts with the following
- Cancer - Colon category listing has
149 items - 16 factors increase the risk of early-onset colorectal cancer, only vitamin D decreases the risk – meta-analysis May 2023
- 25+ Colon Cancer meta-analyses
- Colon cancer risk increases 30X if you have the worst vitamin D receptor mutation – Jan 2021
- Cancer - After diagnosis category listing has
119 items along with related searches - see also:
Overview Cancer-Colon and vitamin D. Overview Cancer and vitamin D Overview Gut and vitamin D Cancer and Vitamin D - many studiesAll Items in both Cancer- Coion and Meta-analysis are listed here:
- 16 factors increase the risk of early-onset colorectal cancer, only vitamin D decreases the risk – meta-analysis May 2023
- Colorectal Cancer 10 percent more likely if poor Vitamin D Receptor – meta-analysis Jan 2023
- Colorectal cancer 14 percent less likely if 10 ng more Vitamin D – 22nd meta-analysis – Sept 2022
- Colorectal cancer 40 percent less likely if 1000 IU more Vitamin D – 21st meta-analysis – Oct 2021
- Colorectal cancer 25 percent less likely if good level of Vitamin D – 20th meta-analysis – June 2021
- Deaths from many types of Cancer associated with low vitamin D- review of meta-analyses Sept 2020
- Colorectal cancer treated by Vitamin D – 19th meta-analysis – Sept 2020
- Colon cancer both prevented and treated by Vitamin D – meta-analysis Dec 2019
- Colorectal cancer is associated with Vitamin D (17 meta-analyses so far) – July 2018
- Colorectal cancer 60 percent less likely: high vs low Vitamin D level – meta-analysis Dec 2016
- Colorectal Cancer recurrence not prevented by 1,000 IU of vitamin D – meta-analysis Dec 2016
- Risk of Cancer increased if poor Vitamin D Receptor – meta-analysis of 73 studies Jan 2016
- Colon cancer 30 percent more likely if low vitamin D – 12th meta-analysis Aug 2015
- Colon cancer risk reduced by many vitamins – 13 percent reduction by Vitamin D – meta-analysis Jan 2015
- Cancer (colon, breast, lymph) survival about 2X better with high level vitamin D – meta-analysis July 2014
- Cancer survival 4 percent more likely with just a little more vitamin D (4 ng) - meta-analysis July 2014
- Colorectal and Breast Cancer – Vitamin D is associated with fewer deaths – meta-analysis Feb 2014
- 10 percent of colon cancer linked to Vitamin D Receptor – meta-analysis April 2012
- Graphs of Vitamin D and Cancer – meta-analysis Dec 2011
- Colon cancer probability increases with decreased vitamin D – Meta-analysis July 2011
- Non-cancer colon growths 7 % less likely per 10 ng increase in Vitamin D – Oct 2011
- Colorectal cancer 26 percent less likely for every 10 ng of vitamin D – meta-analysis Aug 2011
- Colon polyps reduced 15 percent by increasing vitamin D by 20 ng – meta-analysis June 2011
- Meta-analysis of 3 cancers - 10 ng more vitamin D decrease colorectal by 15 percent– May 2010
- Meta-analysis found vitamin D association with colon but not prostate nor breast cancer May 2010
 Download the PDF from VitaminDWiki
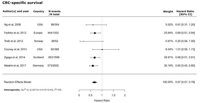
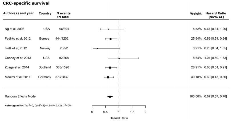
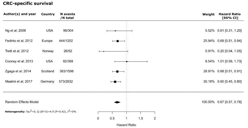
Previous meta-analyses have shown an improved survival with higher blood 25-hydroxyvitamin D (25(OH)D) concentrations in patients with colorectal cancer (CRC). However, a number of much larger studies have been published since then. We provide an updated meta-analysis to synthesize current evidence. PubMed and Web of Science databases were systematically searched for eligible studies. The dose-response relationships and pooled hazard ratios for overall and CRC-specific survival comparing the highest versus the lowest categories of blood 25(OH)D concentrations were assessed. Subgroup analyses based on study geographic location, year of publication, sample size, length of follow-up time and stage were conducted to explore potential sources of heterogeneity.
Overall, 11 original studies with a total of 7718 CRC patients were included. The dose-response meta-analysis showed an improvement in survival outcomes with increasing blood 25(OH)D concentrations. Pooled hazard ratios (95% confidence intervals) comparing highest versus lowest categories were 0.68 (0.55⁻0.85) and 0.67 (0.57⁻0.78) for overall and CRC-specific survival, respectively. Associations were more prominent among studies conducted in Europe, with larger sample sizes, and including stage I⁻IV patients. This updated meta-analysis reveals robust evidence of an association between higher blood 25(OH)D concentrations and better survival in CRC patients. The potential for enhancing prognosis of CRC patients by vitamin D supplementation should be explored by randomized trials.Colorectal cancer is associated with Vitamin D (17 meta-analyses so far) – July 2018Printer Friendly Follow this page for updates7937 visitors, last modified 11 Mar, 2021, This page is in the following categories (# of items in each category)Attached files
ID Name Uploaded Size Downloads 10208 CRC survival.jpg admin 18 Jul, 2018 33.82 Kb 1031 10207 17th CRC meta-analysis.pdf admin 18 Jul, 2018 1.84 Mb 881 - see also: