Back pain in adults 2 times more likely if less than 12 ng of vitamin D – Review Nov 2017

Mapping the Association between Vitamin D and Low Back Pain: A Systematic Review and Meta-Analysis of Observational Studies.

Pain Physician. 2017 Nov;20(7):611-640.
Zadro J1, Shirley D1, Ferreira M2, Carvalho-Silva AP1, Lamb SE3, Cooper C3, Ferreira PH1.
1 Discipline of Physiotherapy, Faculty of Health Sciences, The U. of Sydney, Sydney, Australia.
2 Institute of Bone and Joint Research/The Kolling Institute & School of Public Health, Sydney Medical School, The U. of Sydney, Sydney, Australia.
3 Nuffield Department of Orthopaedics, Rheumatology and Musculoskeletal Sciences, U. of Oxford, Oxford, England.

VitaminDWiki

10 Most-visited pages in Back Pain category

Back pain is 4th biggest global cause of disability: ages 50-69 has the following table
Global Burden of Backpain


 Download the PDF from VitaminDWiki

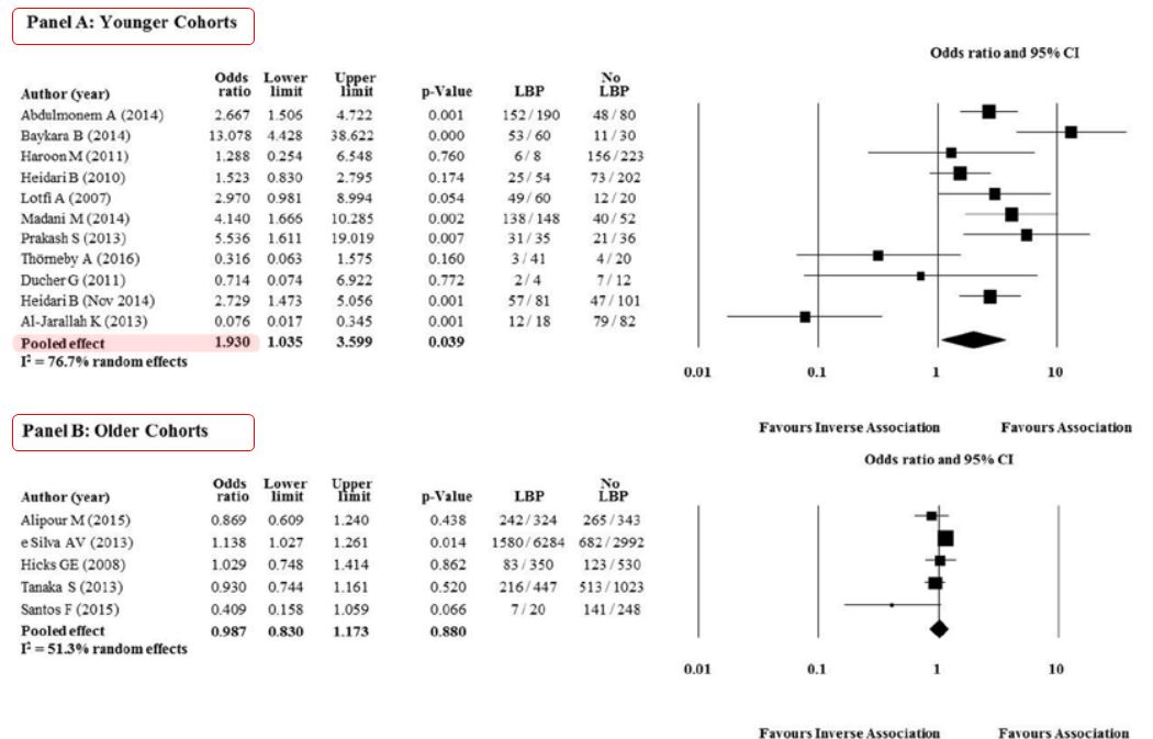
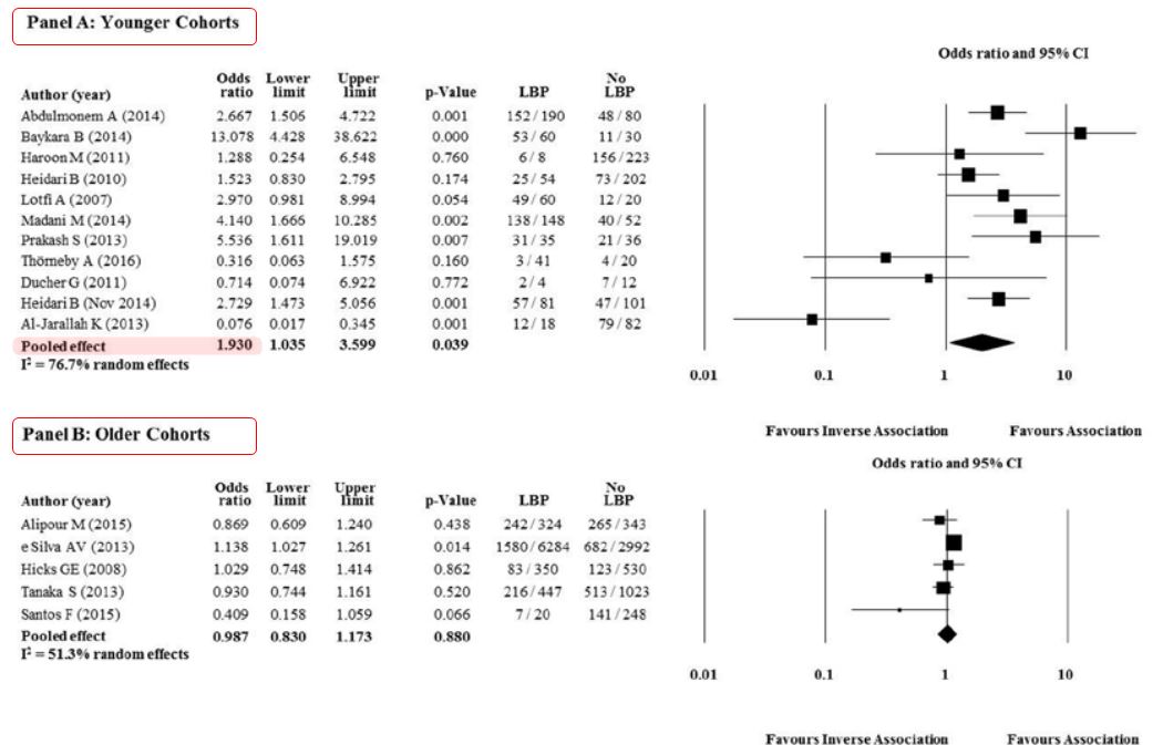
Back pain associated with low vitamin D if < age 60

Image

BACKGROUND:
Low back pain (LBP) is the highest contributor to disability worldwide, with current intervention strategies only providing small to moderate analgesic effects. The use of vitamin D supplementation for LBP has gained interest due to its proposed anti-inflammatory and neuromodulatory properties. However, it is still unclear whether vitamin D levels differ between those with and without LBP or if vitamin D levels are associated with pain intensity.

OBJECTIVES:
We aim to investigate the association between vitamin D levels and LBP and to determine if vitamin D levels correlate with pain intensity in individuals with LBP.

STUDY DESIGN:
This study was conducted in accordance with the guidelines for performing a Meta-analysis and Systematic Review Of Observational Studies in Epidemiology (MOOSE).

METHODS:
We performed electronic database searches combined keywords relating to vitamin D and LBP in MEDLINE, CINAHL, EMBASE, AMED, WEB OF SCIENCE, and SCOPUS from the earliest record to March 2017. Studies were included if they reported any quantitative measure of vitamin D, such as serum 25-hydroxyvitamin D [25(OH)D], with adequate data in patients with and without LBP or adequate data on pain intensity in patients with LBP. No restriction on the type or duration of LBP, nor the age and gender of patients was applied. Two reviewers independently performed the selection of studies, extracted data, and assessed the methodological quality of the included studies using a modified 15-item Downs and Black checklist.

RESULTS:
After the removal of duplicates and the screening of titles and abstracts, 105 full texts were evaluated. There were 29 articles included in this systemic review (22 entered into a meta-analysis), including 19 cross-sectional studies, 9 case-control studies, and one single-arm surgical trial where the pre-operative data were used in our analyses. The pooled results from 19 studies showed that individuals with LBP were more likely to have vitamin D deficiency (pooled OR = 1.60, 95% CI: 1.20 - 2.12, P = 0.001, n = 19), severe deficiency (pooled OR = 2.08, 95% CI: 1.19 - 3.64, P = 0.010, n = 7), and lower serum concentrations of 25(OH)D (weighted MD = 3.86, 95% CI: 0.20 - 7.52, P = 0.039, n = 12) compared to those without LBP (where "n" is the number of studies). The association between vitamin D deficiency (pooled OR = 1.83, 95% CI: 1.26 - 2.66, P = 0.002, n = 9) or serum 25(OH)D (weighted MD = 7.64, 95% CI: 4.02 - 11.26, P < 0.001, n = 4) and LBP was stronger for women but failed to be statistically significant for men (pooled OR = 1.06, 95% CI: 0.62 - 1.81, P = 0.213, n = 3). In addition, there were strong associations between vitamin D deficiency and LBP in patients < 60 years old (particularly women). We found minimal evidence to support an association between vitamin D levels and pain intensity in patients with LBP.

LIMITATIONS:
We were unable to investigate whether vitamin D deficiency increases the risk of developing LBP as there were no longitudinal studies included in this review.

CONCLUSION:
Vitamin D deficiency is associated with LBP, with stronger associations observed in younger women and those with severe levels of deficiency. The association between vitamin D levels and pain intensity is inconsistent. These results may guide the implementation of future studies on vitamin D supplementation for LBP. PROSPERO Registration No: CRD42016046874.


Created by admin. Last Modification: Saturday December 2, 2017 16:00:22 GMT-0000 by admin. (Version 6)

Attached files

ID Name Comment Uploaded Size Downloads
8756 Back Pain F4.jpg admin 18 Nov, 2017 77.38 Kb 682
8755 Mapping the Association between Vitamin D and Low Back Pain.pdf admin 18 Nov, 2017 1.30 Mb 1082