3,200 IU of daily not help much in population already having 30 ng of Vitamin D – RCT Jan 2022


Vitamin D supplementation and prevention of cardiovascular disease and cancer in the Finnish Vitamin D Trial : a randomized controlled trial

American Journal of Clinical Nutrition , vol. 115 , no. 5 , pp. 1300-1310 . https://doi.org/10.1093/ajcn/nqab419

Virtanen , J K , Nurmi , T , Aro , A , Bertone-Johnson , E R , Hypponen , E , Kroger , H , Lamberg-Allardt , C , Manson , J E , Mursu , J , Mantyselka , P , Suominen , S , Uusitupa , M , Voutilainen , A , Tuomainen , T-P & Hantunen , S 2022 , ' 'Institute of Public Health and Clinical Nutrition, University of Eastern Finland, Kuopio, Finland; independent scientist, Kangasala, Finland; 3Department of Biostatistics, School of Public Health and Health Sciences, University of Massachusetts, Amherst, MA, USA; 4Department of Epidemiology and Health Promotion and Policy, School of Public Health and Health Sciences, University of Massachusetts, Amherst, MA, USA; 5 Australian Centre for Precision Health, Unit of Clinical and Health Sciences, University of South Australia, Adelaide, Australia; 6South Australian Health and Medical Research Institute, Adelaide, Australia; ’Department of Orthopaedics, Traumatology and Hand Surgery, Kuopio University Hospital, Kuopio, Finland; 8 Department of Food and Nutrition, University of Helsinki, Helsinki, Finland; ’Department of Medicine, Brigham and Women’s Hospital Harvard Medical School, Boston, MA, USA; '’Department of Epidemiology, Harvard T.H. Chan School of Public Health, Boston, MA, USA; ''Primary Health Care Unit, Kuopio University Hospital, Kuopio, Finland; '’Department of Public Health, University of Turku, Turku University Hospital, Turku, Finland; and '3School of Health Sciences, University of Skovde, Skovde, Sweden

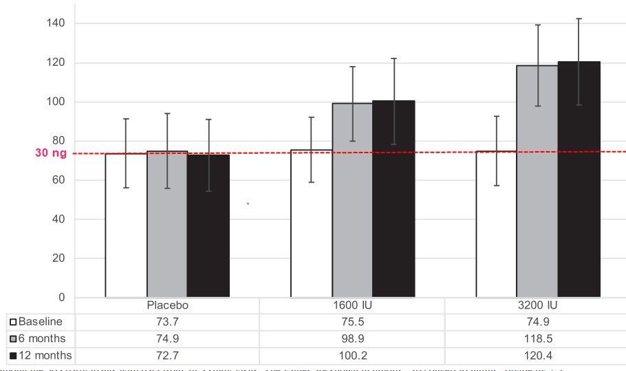
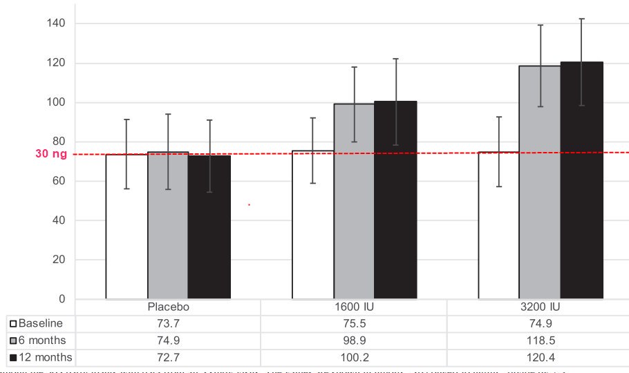
All arms started with 30 ng
Image

Not much difference between placebo, 1600 IU and 3200 IU
Image

Background: Vitamin D insufficiency is associated with risks of cardiovascular diseases (CVD) and cancer in observational studies, but evidence for benefits with vitamin D supplementation is limited. Objectives: To investigate the effects of vitamin D3 supplementation on CVD and cancer incidences.

Methods: The study was a 5-year, randomized, placebo-controlled trial among 2495 male participants >60 years and post-menopausal female participants >65 years from a general Finnish population who were free of prior CVD or cancer. The study had 3 arms: placebo, 1600 IU/day, or 3200 IU/day vitamin D3. Follow-up was by annual study questionnaires and national registry data. A representative subcohort of 551 participants had more detailed in-person investigations. The primary endpoints were incident major CVD and invasive cancer. Secondary endpoints included the individual components of the primary CVD endpoint (myocardial infarction, stroke, and CVD mortality), site-specific cancers, and cancer death.
Results: During the follow-up, there were 41 (4.9%), 42 (5.0%), and 36 (4.3%) major CVD events in the placebo, 1600 IU/d (compared with placebo: HR: 0.97; 95% CI: 0.63-1.49; P = 0.89), and 3200 IU/d (HR: 0.84; 95% CI: 0.54-1.31; P = 0.44) arms, respectively. Invasive cancer was diagnosed in 41 (4.9%), 48 (5.8%), and 40 (4.8%) participants in the placebo, 1600 IU/d (HR: 1.14; 95% CI: 0.75-1.72; P = 0.55), and 3200 IU/d (HR: 0.95; 95% CI: 0.61-1.47; P = 0.81) arms, respectively. There were no significant differences in the secondary endpoints or total mortality. In the subcohort, the mean baseline serum 25-hydroxyvitamin D concentration was 75 nmol/L (SD, 18 nmol/L). After 12 months, the concentrations were 73 nmol/L (SD, '8 nmol/L), '00 nmol/L (SD, 2' nmol/L), and '20 nmol/L (SD, 22 nmol/L) in the placebo, '600 IU/d, and 3200 IU/d arms, respectively.

Conclusions: Vitamin D3 supplementation did not lower the incidences of major CVD events or invasive cancer among older adults, possibly due to sufficient vitamin D status in most participants at baseline.
 Download the PDF from VitaminDWiki


Expect this RCT would have found statistically significant results in >170 other countries

See


Expect Finland would have gotten good results if they had added Magnesium and Omega-3

  • 18 articles are in both Cardiovascular and Magnesium categories
  • 34 articles are in both Cardiovascular and Omega-3 categories

VitaminDWiki pages with FINLAND or FINNISH in title (18 as of Sept 2022)

This list is automatically updated

Items found: 23
Title Modified
After years of vitamin D fortification and supplementation, Finland has 38 ng levels - March 2022 05 Sep, 2025
Stillbirths dropped in 2 countries after increasing Vitamin D fortification (Finland, Sweden) – Jan 2025 01 Jan, 2025
Stillbirth rates dropped from 4.1% to 2.8% as Finland increased Vitamin D fortification – May 2022 28 Apr, 2024
Many T1 diabetics in Finland are self-treating with more than 1200 IU of Vitamin D daily – Feb 2024 08 Mar, 2024
Preterm birth rate increased in US but decreased in Finland (high Vitamin D) - Jan 2024 09 Feb, 2024
Afib in Finland reduced 30% by Vitamin D (3200 IU) – RCT June 2023 09 Jul, 2023
Happiest country on earth has a high Vitamin D level (Finland, with little sun) – March 2022 27 Nov, 2022
95 percent of pregnant women in Finland took vitamin D – PHD Dissertation Dec 2019 04 Apr, 2022
Vitamin D levels in Finland increased 2000-2011 (supplementation and fortification) – May 2017 05 Jan, 2022
Less response to 800 IU of Vitamin D by Africans than natives in Finland – RCT March 2018 25 Dec, 2019
IBD in Finland – 3X increase in 15 years, more prevalent further from equator – Nov 2012 14 May, 2019
Vitamin D needed for 12 ng in winter in Finland – Whites 320 IU, Blacks 720 IU – July 2018 24 Jul, 2018
Spring sunshine in snowy Finland normalized Vitamin D levels to 36 nanograms – 2017 13 Mar, 2018
Type I Diabetes stopped increasing in Finland after Vitamin D levels were raised – July 2014 15 Oct, 2016
Improved health due to vitamin D fortification in Finland 15 Oct, 2016
Vitamin D fortification is returning to Finland – now 400 IU per 100 gram of butter – Oct 2016 15 Oct, 2016
Finland increased vitamin D - Nov 2010 26 Jul, 2014
Type 1 diabetes starting to decrease in Finland, they started Vitamin D fortification in 2003 – July 2013 26 Jul, 2014
Infants in France and Finland need 1000 IU of vitamin D, but apparently infants in US need only 400 - 2013 14 Jul, 2013
Finland hopes to double Vitamin D dose for elderly from 400 to 800 IU in 2012 – April 2010 12 Nov, 2012
Finland max 2000 IU vitamin D since cannot get more from food - 2011 03 Sep, 2012
Low vitamin D increased death rate 2X in Finland – Aug 2011 10 Feb, 2012
More likely to develop Prostate Cancer if have high level of vitamin D in Finland – Sept 2011 07 Sep, 2011


Attached files

ID Name Comment Uploaded Size Downloads
18490 Finland chart.jpg admin 26 Sep, 2022 76.43 Kb 342
18489 Finland.jpg admin 26 Sep, 2022 47.35 Kb 327
18488 Finland rct cvd.pdf admin 26 Sep, 2022 815.69 Kb 284