High dose vitamin D administration in ventilated intensive care unit patients: A pilot double blind randomized control trial
Journal of Clinical & Translational Endocrinology, Available online 5 May 2016, doi:10.1016/j.jcte.2016.04.004
Jenny E. Han, MD, MSc1, 2, a, jehan2 at emory.edu, Jennifer L. Jones, PhD, RD3, a, Vin Tangpricha, MD, PhD3, 6, Mona A. Brown, MSN, RN1, Lou Ann S. Brown, PhD4, Li Hao, MD3, Gautam Hebbar, MBBS, MPH3, Moon Jeong Lee3, Shuling Liu, PhD5, Thomas R. Ziegler, MD3, Greg S. Martin, MD,MSc1, 2
1 Division of Pulmonary, Allergy, Critical Care and Sleep Medicine, Department of Medicine, Emory University, Atlanta, GA
2 Emory Critical Care Center, Emory University, Atlanta, GA
3 Division of Endocrinology, Metabolism and Lipids, Department of Medicine, Emory University, Atlanta, GA
4 Department of Pediatrics, Division of Neonatal-Perinatal Medicine, Emory University, Atlanta, GA
5 Rollins School of Public Health, Emory University, Atlanta, GA
6 Atlanta VA Medical Center, Decatur, GA
One or two capsules of 50,000 IU of vitamin D daily for 5 days (Bio-Tech)
| Vitamin D levels | Hospital Days | |
| Placebo | 21 nanograms | 36 days |
| 250,000 IU | 46 nanograms | 25 days |
| 500,000 IU | 55 nanograms | 18 days |
VitaminDWiki suspects even fewer days if had
- Extended the time beyond just 5 days
- Added cofactors such as Magnesium and Omega-3
- Increased the dose for those who were obese
- had started with a loading dose of say 300,000 IU - improving the immune sysem 3 days sooner
- Increased the dose for those who were very vitamin D deficient
See also VitaminDWiki
- Almost 6X more likely to die after coronary bypass if vitamin D deficient – Dec 2012
- 500,000 IU of vitamin D cut in half the hospital days following a lung failure – RCT 2015
previous presentation of this study - 5 out of 6 children who died in pediatric critical care unit had low vitamin D – May 2014
Overview Loading of vitamin D contains the following
Loading dose:Vitamin D loading dose (stoss therapy) proven to improve health overview
If a person is or is suspected to be, very vitamin D deficient a loading dose should be given
- Loading = restore = quick replacement by 1 or more doses
- Loading doses range in total size from 100,000 IU to 1,000,000 IU of Vitamin D3
- = 2.5 to 25 milligrams
- The size of the loading dose is a function of body weight - see below
- Unfortunately, some doctors persist in using Vitamin D2 instead of D3
- Loading may be done as quickly as a single day (Stoss), to as slowly as 3 months.
- It appears that spreading the loading dose over 4+ days is slightly better if speed is not essential
- Loading is typically oral, but can be Injection (I.M,) and Topical
- Loading dose is ~3X faster if done topically or swished inside of the mouth
- Skips the slow process of stomach and intestine, and might even skip liver and Kidney as well
- The loading dose persists in the body for 1 - 3 months
- The loading dose should be followed up with on-going maintenance dosing
- Unfortunately, many doctors fail to follow-up with the maintenance dosing.
- About 1 in 300 people have some form of a mild allergic reaction to vitamin D supplements, including loading doses
- it appears prudent to test with a small amount of vitamin D before giving a loading dose
- The causes of a mild allergic reaction appear to be: (in order of occurrence)
- 1) lack of magnesium - which can be easily added
- 2) allergy to capsule contents - oil, additives (powder does not appear to cause any reaction)
- 3) allergy to the tiny amount of D3 itself (allergy to wool) ( alternate: D3 made from plants )
- 4) allergy of the gut to Vitamin D - alternative = topical
The items which are in both Intervention and Trauma/Surgery are listed here
- ICU patients 6X more likely to die if poor response to 570,000 IU of Vitamin D – RCT April 2025
- Spinal TB surgery now includes Vitamin D as the standard of care (5,000 IU daily) – Sept 2024
- Sepsis (with mechanical ventilation) treated by 5days of 50,000 IU of Vitamin D – RCT May 2024
- Half as much AFIB after bypass if 600,000 IU of vitamin D before surgery – RCT April 2022
- Half as many problems if take Vitamin D (300,000 IU) before thyroidectomy – RCT Jan 2021
- Those getting an injection of 300,000 IU Vitamin D got out of the ICU a week sooner – RCT Dec 2020
- Traumatic Brain Injury – 120,000 IU of Vitamin D resulted in 3 fewer days on ventilators – RCT March 2020
- Better Surgical outcomes if preceded by Vitamin D loading dose – Oct 2018
- Knee replacement not helped by 2,000 IU of vitamin D (both too late and too little) – RCT July 2018
- Heart attack ICU costs cut in half by Vitamin D – Oct 2018
- Urinary sepsis – a single Vitamin D injection reduced hospital days by 40 percent – RCT April 2018
- Ventilator-associated pneumonia death rate cut in half by Vitamin D injection (300,000 IU) – RCT July 2017
- ICU cost reduced by at least 27,000 dollars if get high dose vitamin D in first week - April 2017
- Vitamin D and Glutamine reduced Trauma Center deaths by half – Matthews March 2017
- Hospital ICU added high dose vitamin D - malpractice lawsuit costs dropped from 26 million dollars to ZERO - Oct 2016
- Vitamin D and exercise after hip fracture surgery – far fewer deaths – July 2016
- 18 fewer hospital days if given 500,000 IU of vitamin D while ventilated in ICU – RCT June 2016
- ICU death rate reduced 3X when a vitamin D injection changed the PTH – Nov 2015
- Heart Attack ICU costs reduced $37,000 by $20 of Vitamin D – Nov 2015
- Vitamin D intervention increased by 20 percent the survival of critically ill patients- RCT June 2014
- Middle ear infection (Otitis Media) and Vitamin D – many studies
- Vitamin D aided progesterone in reducing traumatic brain injury – RCT Dec 2012
- Sepsis is both prevented and treated by Vitamin D - many studies
154 studies cited this study as of Oct 2021
- Supplementation with vitamin D in the COVID-19 pandemic? - Feb 2021 in VitaminDWiki
- Vitamin D in COVID - 19: Dousing the fire or averting the storm? – A perspective from the Asia-Pacific = Sept 2020 PDF
- Perspective: improving vitamin D status in the management of COVID-19 - May 2020 PDF
- COVID-19 might be prevented in 2 months by 50,000 IU weekly – May 12, 2020 VitaminDWiki
- Should patients with obesity be more afraid of COVID‐19? June 2020 FREE PDF
- 10,000 IU Vitamin D daily often needed to get to 40-80 ng (It has been 100 years since it’s discovery) – May 2020 in VitaminDWiki
- Vitamin D’s Effect on Immune Function April 2020, FREE PDF
- Vitamin D and outcomes in adult critically ill patients. A systematic review and meta-analysis of randomized trials - April 2017 https://doi.org/10.1016/j.jcrc.2016.10.029
- Vitamin D supplementation in the critically ill: A systematic review and meta-analysis - Aug 2019 may be in VitaminDWiki https://doi.org/10.1016/j.clnu.2017.05.006
- Vitamin D deficiency in critically ill children: a systematic review and meta-analysis - Nov 2017 free PDF https://doi.org/10.1186/s13054-017-1875-y
- Vitamin D and critical illness: what endocrinology can learn from intensive care and vice versa- Dec 2018
- Vitamin D in the ICU: More sun for critically ill adult patients? May 2019 - generally loading doses which are not possible with the sun   PDF from Sci-Hub via VitaminDWiki
Highlights
• First double blind RCT of vitamin D therapy in mechanically ventilated patients
• Treatment with placebo, 250000 IU or 500000 IU enteral vitamin D3 was well tolerated
• Significant increase in plasma 25(OH)D from baseline to day 7
• Significant decrease in hospital length of stay for vitamin D3 treated subjects
• No change in plasma LL-37 according to treatment group
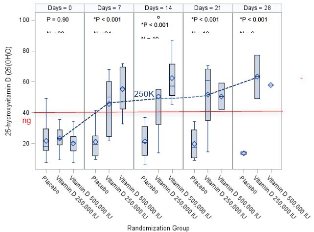
Background: There is a high prevalence of vitamin D deficiency in the critically ill patient population. Several intensive care unit studies have demonstrated an association between vitamin D deficiency [25-hydroxyvitamin D (25(OH)D) < 20 ng/mL] and increased hospital length of stay (LOS), readmission rate, sepsis and mortality.
Material and Methods: Pilot, double blind randomized control trial conducted on mechanically ventilated adult ICU patients. Subjects were administered either placebo, 50,000 IU vitamin D3 or 100,000 IU vitamin D3 daily for 5 consecutive days enterally (total vitamin D3 dose = 250,000 IU or 500,000 IU, respectively). The primary outcome was plasma 25(OH)D concentration 7 days after oral administration of study drug. Secondary outcomes were plasma levels of the antimicrobial peptide cathelicidin (LL37), hospital LOS, SOFA score, duration of mechanical ventilation, hospital mortality, mortality at 12 weeks, and hospital acquired infection.
Results: A total of 31 subjects were enrolled with 13 (43%) being vitamin D deficient at entry (25(OH)D levels < 20 ng/mL). The 250,000 IU and 500,000 IU vitamin D3 regimens each resulted in a significant increase in mean plasma 25(OH)D concentrations from baseline to day 7; values rose to 45.7±19.6 ng/mL and 55.2 ± 14.4 ng/mL, respectively, compared to essentially no change in the placebo group (21±11.2 ng/mL), p<0.001. There was a significant decrease in hospital length of stay over time in the 250,000 IU and the 500,000 IU vitamin D3 group, compared to the placebo group (25 ± 14 and 18 ± 11 days compared to 36 ± 19 days, respectively; p=0.03). There was no statically significant change in plasma LL-37 concentrations or other clinical outcomes by group over time.
Conclusions: In this pilot study, high-dose vitamin D3 safely increased plasma 25(OH)D concentrations into the sufficient range and was associated with decreased hospital length of stay without altering other clinical outcomes.
www.clinicaltrials.gov (NCT01372995)
 Download the PDF from VitaminDWiki
| 12956 visitors, last modified 03 Oct, 2021, |
| ID | Name | Uploaded | Size | Downloads | |
|---|---|---|---|---|---|
| 16344 | Dousing the fire.pdf | admin 03 Oct, 2021 | 680.33 Kb | 429 | |
| 16343 | perspective.pdf | admin 03 Oct, 2021 | 277.65 Kb | 508 | |
| 13563 | ICU sun.pdf | admin 02 Mar, 2020 | 1.28 Mb | 620 | |
| 7906 | LOS 18 fewer days.jpg | admin 10 Apr, 2017 | 52.98 Kb | 1640 | |
| 6645 | 250K 500K.pdf | admin 06 May, 2016 | 667.22 Kb | 1197 |