Vitamin D production after UVB exposure - a comparison of exposed skin regions
Journal of Photochemistry and Photobiology B: Biology, online 5 Jan 2015 doi:10.1016/j.jphotobiol.2014.12.026
Amra Osmancevic a, Amra.Osmancevic at vgregion.se , Katarina Sandström a, Martin Gillstedt a, Kerstin Landin-Wilhelmsen b, Olle Larkö a, Ann-Marie Wennberg Larkö a, Michael F Holick c, Anne-Lene Krogstada, d
a Dept of Dermatology, Sahlgrenska University Hospital, at Sahlgrenska academy, University of Gothenburg, Gothenburg, Sweden
b Section for Endocrinology, Dept of Internal Medicine, Sahlgrenska University Hospital, at Sahlgrenska academy, University of Gothenburg, Gothenburg, Sweden
c Boston University School of Medicine, Boston MA 02118, USA
d Dept of Dermatology, RH University Hospital, Oslo, Norway
The study was conducted at the Department of Dermatology, Sahlgrenska University Hospital, Gothenburg, Sweden
Corresponding author. Address: Department of Dermatology, Sahlgrenska University Hospital, SE-413 45 Gothenburg, Sweden. Tel.: +46 31 342 9682, +46 766328378; fax: +46 31 821871.
Highlights
- Serum cholecalciferol and 25(OH)D3 increased after UVB irradiation of 3 different anatomic sites in the same individuals.
- UVB exposure of a larger skin area resulted in greater increases in serum cholecalciferol concentrations.
- Sporadic exposure of only face and hands was capable of a significant rise in serum concentrations of 25(OH)D3.
Background
Cholecalciferol is an essential steroid produced in the skin by solar ultraviolet B radiation (UVB 290-315 nm).
Skin production of cholecalciferol depends on factors affecting UVB flux, age and exposed skin area.
Purpose
Serum cholecalciferol and 25-hydroxyvitamin D3 [25(OH)D3] concentrations were measured after UVB irradiation of 3 different skin areas to compare the skin capacity to produce vitamin D in different anatomic sites in the same individuals.
Method
Ten voluntary Caucasians (skin photo type II & III, aged 48±12 years, (±SD)) were exposed to broadband UVB (280-320 nm) between February and April. Hands and face, upper body and whole body were exposed to a suberythemic dose of UVB (median 101 mJ/cm2, (min 66, max 143)) (for 3 subsequent days 24 h apart with a wash out period of about 3 weeks (median 18 days, (min 11, max 25)) between the exposures of respective area. Serum concentrations of cholecalciferol and 25(OH)D3, were measured immediately before the first and 24 h after the last dose of radiation.
Results
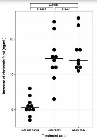
There was a significantly higher increase in serum cholecalciferol after UVB exposure of the two larger skin areas compared to face and hands, but no difference in increase was found between upper body and whole body exposures.
Conclusion
Exposure of a larger skin area was superior to small areas and gave greater increase in both serum cholecalciferol and serum 25(OH)D3 concentrations. However, exposure of face and hands, i.e. only 5% of the body surface area, was capable of increasing serum concentrations of 25(OH)D3.
Publisher wants $38 for the PDF
VitaminDWiki got a chance to look at the study
The cholecalciferol increase was about 15 ng average for
- Just upper body exposed to UVB
- Entire body (nude) exposed to UVB
Virtually all of the literature assumes that the vitamin D generated is proportional to skin exposed,so doubling the skin area should double the vitamin D produced.
- Note: It is possible that the lower portion of the body was not used to being exposed to sunshine/uvb so would not have much pre-vitamin D in the skin.
- Would be interesting to have a follow-on experiments where:
- Subjects are used to having their legs exposed to sunshine.
- Just the lower half is exposed, rather than the upper half of the body
See also VitaminDWiki
- Noontime sun and D category listing with associated searches
- How many minutes of sun do I need – age, skin color, UV index – Nov 2014
- UV, sunshine, and vitamin D (87 charts) - Holick March 2013 Holick is one of the authors of the study on this page
- Overview UV and vitamin D
- For small amounts of sunshine the amount of skin exposed may not matter – Jan 2011
- Chicken legs have 190X more pre-vitamin D than other portions of the chicken
It appears that chicken skin which lacks sun will not get much pre-vitamin D
Expect it is true in humans as well.
Wonder how long it takes for pre-vitamin D production to increase in a portion of skin: days, weeks, seasons, lifetimes ? ? - Little Vitamin D generated by face and hands - June 2015 update by many of same authors