Psoriasis and daily low-emission phototherapy: effects on disease and vitamin D level.
Photodermatol Photoimmunol Photomed. 2015 Mar;31(2):83-9. doi: 10.1111/phpp.12151
Franken SM1, Witte B, Pavel S, Rustemeyer T.
1Department of Dermatology, VU University Medical Center, Amsterdam, The Netherlands.
BACKGROUND/PURPOSE:
Hospital-based phototherapy is a widely accepted treatment modality in psoriasis patients. It, however, requires several hospital visits weekly, interfering with (school) work. Home ultraviolet (UV) treatment has been proven effective before but is only available in certain countries, and safety aspects play a part in reluctancy to prescribe this treatment. Patients, however, are usually keen on the use of phototherapy as it is effective and gives them the possibility of reducing the amount of topical treatment needed. In this study, we assess the effectivity of a low-emission UV device used daily.
METHODS:
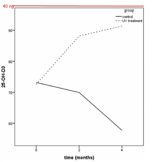
Sixty-two patients were treated for 6 months either with daily low-emission UV treatment and mometasone ointment 0.1% or with mometasone ointment 0.1% alone. Psoriasis severity scores, quality of life, vitamin D level, and blood pressure were monitored every 2 months during the study.
RESULTS:
Patients treated with daily low-emission UV treatment showed a significant improvement in psoriasis severity, quality of life, amount of steroid ointment used, and vitamin D levels.
CONCLUSION:
Daily low-emission UV therapy is an effective treatment for psoriasis patients, diminishing the amount of steroid ointment needed and improving disease activity, quality of life, and vitamin D scores. Further investigation, however, is necessary.
Publisher wants $12 to rent the PDF
Paid to see the PDF - here is some information
1 SED in 4.5 minutes at 40 cm distance
Used daily for 7 minutes – turn around while in shower so that < 1 SED at any one point on skin
UV source in home shower
http://www.dermasun.com/uvb-lichttherapie/helios/ $2,600
It is far far less expensive to treat psorasis with Vitamin D or other UVB sources
Spectra - does not include much UVB to produce Vitamin D
Vitamin D levels increased with months of use
See also VitaminDWiki
- 35,000 IU vitamin D daily for 6 months helped ALL psoriasis suffers (106 ng) – Brazil March 2013
FAR higher than levels achieved by the study on this page (100 ng > 35 ng) - Vitamin D from low-cost UVB lamps by VitaminDWiki
Pages listed in BOTH the categories Psorasis and UV
- Best psoriasis treatment was combo of Vitamin D, UVA, and Calcium – meta-analysis Jan 2022
- UV has treated psoriasis for over a century, guidelines finally agreed upon – Aug 2019
- Ultraviolet light (which produces vitamin D) decreased the use of psoriasis drugs for a year – Aug 2017
- Phototherapy and vitamin D – Sept 2016
- Psoriasis decreased and vitamin D increased with home UV lamp – March 2015
- NB UVB increased vitamin D levels while decreasing psoriasis and CYP27A1 – March 2014
- UVB effects on genes of those with and without Psoriasis – April 2014
- Psoriasis treatment by narrowband UV B – review Nov 2010
- UV produces more than vitamin D – Aug 2011