Better visual memory if more vitamin D – April 2023


Vitamin D is associated with visual memory in young northern adolescents

Nutr Neurosci . 2023 Apr 8;1-12. doi: 10.1080/1028415X.2023.2199498 PDF is behind a paywall
Katherine R F Bailey 1 2, Jacqueline A Pettersen 1 2

Image
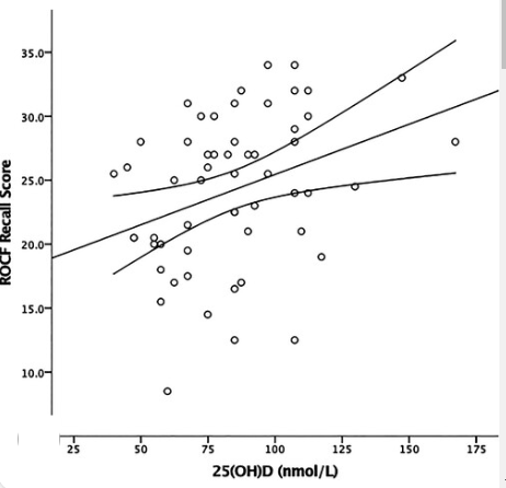
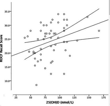
chart from Google image

Background: Vitamin D status has been linked to visual memory in adults. We hypothesized a similar association in young adolescents.

Methods: Participants were 9-13 years. The Rey-Osterrieth Complex Figure Task (ROCF), Rey Auditory Verbal Learning Task (RAVLT), Digit Span (Forward, Backward), and verbal fluency task assessed visual and verbal learning/memory, attention/working memory, and executive functioning/language, respectively. An at-home, mail-in blood spot test assessed 25(OH)D levels.

Results: Participants (N = 56) were 10.7 ± 1.3 years, 61% females, 25(OH)D levels 84.2 ± 25 nmol/L(39.9 - 167.2 nmol/L) and 41% had insufficient vitamin D status (<75 nmol/L).
Only measures of visual memory (ROCF-Recall, -%Recall of Copy) were significantly correlated with 25(OH)D, r = .34, p < .01 and r = .33, p < .01, respectively, and 25(OH)D remained a significant independent predictor on multiple regression analyses, which included age and sex.(ROCF-Recall overall model: Adj R2 = .24, p < .001; for 25(OH)D: p = .009; ROCF-%Recall of Copy overall model: Adj R2 = .20 p < .002; for 25(OH)D: p = .01). Individuals with sufficient vitamin D performed significantly better only on these measures (t-tests; ROCF-Recall, p = .016, d = 0.68; ROCF-%Recall of Copy, p = .022, d = 0.64). Despite moderate effect sizes (d = 0.4-0.5) in the Younger Age Group (9-10 years), only in the Older Age Group (11-13 years) was 25(OH)D significantly correlated with ROCF-Recall, r = .64, p = .0001 and ROCF-%Recall of Copy, r = .64, p = .0001, as well as working memory (Digit Span-Backward), Spearman's r = .46, p = .013. Similarly, those in the Older Age Group with sufficient vitamin D performed significantly better on ROCF-Recall, p = .01, d = 1.07; and ROCF-%Recall of Copy, p = .009, d = 1.08.

Conclusions: Vitamin D insufficiency was common in young adolescents. Similar to adults, visual memory was better among participants with higher 25(OH)D and those with sufficient levels. This effect was especially pronounced among older participants, suggesting possible time- and/or age-related implications of vitamin D status on cognition.


14+ VitaminDWiki pages with MEMORY in title

This list is automatically updated

Items found: 16
Title Modified
Kefir (C15:0, if grass-fed) helped memories in 66% of Alzheimer's - May 2025 19 May, 2025
Dementia problems: memory, financial, sleep, personality, driving, loss of smell – Sept 2024 27 Sep, 2024
Better visual memory if more vitamin D – April 2023 08 Apr, 2023
Covid was vanishing last Memorial Day. Cases are five times higher now - May 28, 2022 28 May, 2022
Good working memory in seniors is associated with both Vitamin D and Vitamin C – March 2022 28 Mar, 2022
Improve Cognitive Health and Memory with Vitamin D and Omega-3 – World Patent March 2018 28 Jun, 2018
Adding Vitamin D, Omega-3, etc to children’s milk improved memory (yet again) – RCT June 2018 09 Jun, 2018
Visual memory improved a bit by vitamin D if start with less than 30 ng – RCT Jan 2017 02 Mar, 2017
Parkinson's Disease poor verbal fluency and memory strongly associated with low vitamin D – Sept 2013 11 Jan, 2016
Memory loss linked to low vitamin D – Nov 2015 11 Dec, 2015
Poor memory (among diabetics) if have low vitamin D – Aug 2015 08 Sep, 2015
Better memory if take lots of vitamin D (senior rats) – May 2015 01 May, 2015
2X better attention and working memory if high vitamin D among seniors living in communities – April 2015 04 Apr, 2015
Short-term memory 2X better for those who took slightly more vitamin D 14 years before – Sept 2014 21 Sep, 2014
Parkinson's Disease – better memory and less depression with higher levels of vitamin D – Dec 2013 22 Jan, 2014
Long term rat memory aided by optimal level of vitamin D – Dec 2012 23 Jan, 2013

References

  1. Holick MF. Vitamin D deficiency. N Engl J Med. 2007;357(3):266–81. [Crossref], [PubMed], [Web of Science ®], [Google Scholar]
  2. Holick MF, Binkley NC, Bischoff-Ferrari HA, Gordon CM, Hanley DA, Heaney RP, et al. Evaluation, treatment, and prevention of vitamin D deficiency: an Endocrine Society clinical practice guideline. J Clin Endocrinol Metab. 2011;96(7):1911–30. [Crossref], [PubMed], [Web of Science ®], [Google Scholar]
  3. Science M, Maguire JL, Russell ML, Smieja M, Walter SD, Loeb M. Prevalence and predictors of low sérum 25-hydroxyvitamin D levels in rural Canadian children. Paediatr Child Health. 2017;22(3):125–9. [Crossref], [PubMed], [Google Scholar]
  4. Haimi M, Kremer R. Vitamin D deficiency/insufficiency from childhood to adulthood: insights from a sunny country. World J Clin Pediatr. 2017;6(1):1–9. [Crossref], [PubMed], [Google Scholar]
  5. Huotari A, Herzig KH. Vitamin D and living in northern latitudes—An endemic risk area for vitamin D deficiency. Int J Circumpolar Health. 2008;67(2–3):164–78. [Taylor & Francis Online], [Web of Science ®], [Google Scholar]
  6. Pettersen JA, Fontes S, Duke CL. The effects of Vitamin D insufficiency and seasonal decrease on cognition. Can J Neurol Sci. 2014;41(4):459–65. [Crossref], [PubMed], [Google Scholar]
  7. Mayne PE, Burne THJ. Vitamin D in synaptic plasticity, cognitive function, and neuropsychiatric illness. Trends Neurosci. 2019;42(4):293–306. [Crossref], [PubMed], [Web of Science ®], [Google Scholar]
  8. Eyles DW, Smith S, Kinobe R, Hewison M, McGrath JJ. Distribution of the vitamin D receptor and 1 alpha-hydroxylase in human brain. J Chem Neuroanat. 2005;29(1):21–30. [Crossref], [PubMed], [Web of Science ®], [Google Scholar]
  9. Becker A, Eyles DW, McGrath JJ, Grecksch G. Transient prenatal vitamin D deficiency is associated with subtle alterations in learning and memory functions in adult rats. Behav Brain Res. 2005;161(2):306–12. [Crossref], [PubMed], [Web of Science ®], [Google Scholar]
  10. Overeem K, Alexander S, Burne THJ, Ko P, Eyles DW. Developmental vitamin D deficiency in the rat impairs recognition memory, but has no effect on social approach or hedonia. Nutrients. 2019;11(11):2713. [Crossref], [PubMed], [Web of Science ®], [Google Scholar]
  11. Al-Harbi AN, Khan KM, Rahman A. Developmental vitamin D deficiency affects spatial learning in Wistar rats. J Nutr. 2017;147(9):1795–805. [PubMed], [Google Scholar]
  12. Goodwill AM, Szoeke C. A systematic review and meta-analysis of the effect of low vitamin D on cognition. J Am Geriatr Soc. 2017;65(10):2161–8. [Crossref], [PubMed], [Web of Science ®], [Google Scholar]
  13. Balion C, Griffith LE, Strifler L, Henderson M, Patterson C, Heckman G, et al. Vitamin D, cognition and dementia: a systematic review and meta-analyses. Neurology. 2012;79(13):1397–405. [Crossref], [PubMed], [Web of Science ®], [Google Scholar]
  14. Sommer I, Griebler U, Klen C, Auer S, Klerings I, Hammer R, et al. Vitamin D deficiency as a risk factor for dementia: a systematic review and meta-analysis. BMC Geriatr. 2017;17(1):16. [Crossref], [PubMed], [Web of Science ®], [Google Scholar]
  15. Hansen AL, Bakke L, Dahl L, Thayer JF. Vitamin D and executive function: a preliminary report. Percept Mot Skills. 2011;113:677–85. [Crossref], [PubMed], [Web of Science ®], [Google Scholar]
  16. Pettersen JA. Vitamin D and executive functioning: are higher levels better? J Clin Exp Neuropsyc. 2016;38(4):467–77. [Taylor & Francis Online], [Web of Science ®], [Google Scholar]
  17. Darwish H, Zeinoun P, Ghusn H, Khoury B, Tamim H, Khoury SJ. Serum 25-hydroxyvitamin D predicts cognitive performance in adults. Neuropsychiatr Dis Treat. 2015;11:2217–23. [Taylor & Francis Online], [Web of Science ®], [Google Scholar]
  18. Nagel G, Herbolsheimer F, Riepe M, Niklaus T, Denkinger MD, Peter R, et al. Serum vitamin D concentrations and cognitive function in a population-based study among older adults in south Germany. J Alzheimer’s Dis. 2015;45:1119–26. [Crossref], [PubMed], [Web of Science ®], [Google Scholar]
  19. Kuzma K, Soni M, Littlejohns TJ, van Schoor NM, Deeg DJH, Comjis H, et al. Vitamin D and memory decline: two population-based prospective studies. J Alzheimer’s Dis. 2016;50:1099–108. [Crossref], [PubMed], [Web of Science ®], [Google Scholar]
  20. Goodwill AM, Campbell S, Simpson Jr S, Bisignano M, Chiang C, Dennerstein L, Szoeke C. Vitamin D status is associated with executive function a decade later: data from the Women’s Healthy Aging Project. Mauritas. 2018;107:56–62. [Crossref], [PubMed], [Web of Science ®], [Google Scholar]
  21. Pettersen JA. Does high dose vitamin D supplementation enhance cognition? A randomized trial in healthy adults. Exp Gerontol. 2017;90:90–7. [Crossref], [PubMed], [Web of Science ®], [Google Scholar]
  22. Castle M, Fiedler N, Pop LC, Schneider SJ, Schlussel Y, Sukumar D, et al. Three doses of vitamin D and cognitive outcomes in older women: a double-blind randomized controlled trial. Gerontol A Biol Sci. 2020;75(5):835–42. [Crossref], [PubMed], [Google Scholar]
  23. Schietzel S, Fischer K, Brugger P, Orav EJ, Renerts K, Gagesch M, et al. Effect of 2000 IU compared with 800 IU vitamin D on cognitive performance among adults age 60 years and older: a randomized controlled trial. Am J Clin Nutr. 2019;110:246–53. [Crossref], [PubMed], [Web of Science ®], [Google Scholar]
  24. Dean AJ, Bellgrove MA, Hall T, Phan WMJ, Eyles DW, Kvaskoff D, McGrath JJ. Effects of vitamin D supplementation on cognitive and emotional functioning in young adults – A randomised controlled trial. PLoS ONE. 2011;6(11):1–7. [Crossref], [Google Scholar]
  25. Tolppanen AM, Williams D, Lawlor DA. The association of circulating 25-hydroxyvitamin D and calcium with cognitive performance in adolescents: cross-sectional study using data from the third National Health and Nutrition Examination Survey. Paediatr Perinat Epidemiol. 2011;25(1):67–74. [Crossref], [PubMed], [Google Scholar]
  26. Rahman A, Al-Taiar A, Shaban L, Al-Sabah R, Al-Harbi A, Mojiminiyi O. Plasma 25-hydroxy vitamin D Is not associated with either cognitive function or academic performance in adolescents. Nutrients. 2018;10(9):1197. [Crossref], [PubMed], [Web of Science ®], [Google Scholar]
  27. Tolppanen AM, Sayers A, Fraser WD, Lawlor DA. Association of serum 25-hydroxyvitamin D₃ and D₂ with academic performance in childhood: findings from a prospective birth cohort. J Epidemiol Community Health. 2012;66(12):1137–42. [Crossref], [PubMed], [Google Scholar]
  28. Nassar MF, Amin AA, Hamed AI, Nassar JF, Abou-Zeid AF, Attaby MA. Vitamin D status and scholastic achievement in middle age childhood. J Egypt Soc Parasitol. 2012;42(2):349–58. [Crossref], [PubMed], [Google Scholar]
  29. Grung B, Sandvik AM, Hjelle K, Dahl L, Frøyland L, Nygård I, Hansen AL. Linking vitamin D status, executive functioning and self-perceived mental health in adolescents through multivariate analysis: a randomized double-blind placebo control trial. Scand J Psychol. 2017;58(2):123–30. [Crossref], [PubMed], [Google Scholar]
  30. Strauss E, Sherman EMS, Spreen OA. A compendium of neuropsychological tests. New York (NY): Oxford University Press; 2006. [Google Scholar]
  31. Busch RM, Booth JE. Role of executive functioning in verbal and visual memory. Neuropsychology. 2005;19(2):171–80. [Crossref], [PubMed], [Web of Science ®], [Google Scholar]
  32. Bahrami A, Khayyatzadeh SS, Jaberi N, Tayefi M, Mohammadi F, Ferns GA, et al. Common polymorphisms in genes related to vitamin D metabolism affect the response of cognitive abilities to vitamin D supplementation. J Mol Neurosci. 2019;69(1):150–6. [Crossref], [PubMed], [Google Scholar]



Better visual memory if more vitamin D – April 2023        
1098 visitors, last modified 23 Mar, 2024,
Printer Friendly Follow this page for updates

Attached files

ID Name Comment Uploaded Size Downloads
21016 Visual memory.png admin 23 Mar, 2024 52.47 Kb 99